Последно актуализиране :
27/01/2026
противораково лекарство   Dacarbazine  
Инжекция/Инжекционен
Стабилност на разтвори Стабилност на смеси Фактори, повлияващи стабилността Съвместимост Път на въвеждане Библиография Pdf
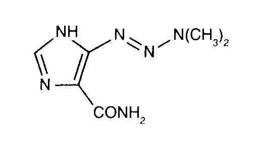
   Химична структура  

Търговско наименование   Търговско наименование     

Търговските имена са примерни и съставът на помощните вещества може да бъде различен в зависимост от държавата и лабораториите

Acocarb Мексико
Celdaz Индия, Перу
Dabaz Бразилия, Индия
Dacarba Индия
Dacarbazin Австрия, Малайзия, Полша, Унгария
Dacarbazina Аржентина, Бразилия, Еквадор, Испания, Италия, Колумбия, Мексико, Перу, Чили
Dacarbazine Австралия, Белгия, Великобритания, Дания, Индия, Иран, Ирландия, Канада, нова Зеландия, Съединени Американски щати / САЩ, Швеция
Dacarex Индия
Dacarin Индия
Dacarpalm Перу
Dacarzine Индия
Dacin Словения, Швейцария
Dacmed Индия
Daracina Колумбия
Deticene Гърция, Португалия, Саудитска Арабия, Франция, Холандия
Detimedac Германия, Колумбия, Румъния, Тунис
DTIC Австрия, нова Зеландия, Съединени Американски щати / САЩ
Fauldetic Португалия
Oncocarbil Аржентина, Еквадор, Перу
Tiferomed Мексико
Стабилност на разтвори   Инжекция/Инжекционен   Стабилност на разтвори : Dacarbazine     
Контейнер Разтворител Концентрация Температура Съхранение Продължителност на стабилността Библиография
Стъкло Вода за инжекции 10 mg/ml 25°C Защита от светлина
15 Час
3266
Данни за стабилност на производителя

Стъкло Вода за инжекции 10 mg/ml 6-8°C Защита от светлина
14 Ден
3266
Данни за стабилност на производителя

Стъкло Вода за инжекции 11 mg/ml 2-6°C Защита от светлина
7 Ден
1635
Степен на доказаност B

Стъкло Вода за инжекции 11 mg/ml 20-25°C Защита от светлина
96 Час
1635
Степен на доказаност B

Стъкло Sodium chloride 0,9% 0,64 mg/ml 23°C Защита от светлина
48 Час
1501
Степен на доказаност A

Стъкло Sodium chloride 0,9% 0,64 mg/ml 4°C Защита от светлина
48 Час
1501
Степен на доказаност A

Поливинил хлорид Sodium chloride 0,9% 0,64 mg/ml 23°C Защита от светлина
48 Час
1501
Степен на доказаност A

Поливинил хлорид Sodium chloride 0,9% 0,64 mg/ml 4°C Защита от светлина
48 Час
1501
Степен на доказаност A

Поливинил хлорид Sodium chloride 0,9% 1,6 mg/ml 4°C Защита от светлина
30 Ден
40
Степен на доказаност D

Поливинил хлорид Glucose 5% 1,4 mg/ml 2-6°C Защита от светлина
168 Час
1635
Степен на доказаност B

Поливинил хлорид Glucose 5% 1,4 mg/ml 20°C-25°C Защита от светлина
72 Час
1635
Степен на доказаност B

Поливинил хлорид Glucose 5% 1,6 mg/ml 4°C Защита от светлина
30 Ден
40
Степен на доказаност D

Полиетилен Sodium chloride 0,9% 0,64 mg/ml 23°C Защита от светлина
48 Час
1501
Степен на доказаност A

Полиетилен Sodium chloride 0,9% 0,64 mg/ml 4°C Защита от светлина
48 Час
1501
Степен на доказаност A

Не е уточнено Sodium chloride 0,9% mg/ml 25°C Защита от светлина
9 Час
3266
Данни за стабилност на производителя

Не е уточнено Sodium chloride 0,9% mg/ml 6-8°C Защита от светлина
6 Ден
3266
Данни за стабилност на производителя

Не е уточнено Glucose 5% mg/ml 25°C Защита от светлина
9 Час
3266
Данни за стабилност на производителя

Не е уточнено Glucose 5% mg/ml 6-8°C Защита от светлина
6 Ден
3266
Данни за стабилност на производителя


  Mentions Légales