Última actualização :
27/04/2026
droga contra o câncer   Dacarbazine  
injetável
Estabilidade em soluções simples Estabilidade em misturas Factores que afectam a sua estabilidade Compatibilidade Método de administração Bibliografía pdf
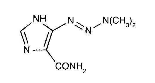
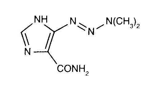
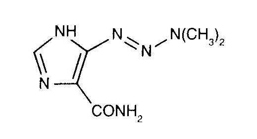
   estrutura química  

Nomes comerciais nos diversos países   Nomes comerciais nos diversos países     

OS NOMES COMERCIAIS SÃO INDICATIVOS E OS EXCIPIENTES DA FORMULAÇÃO PODEM SER DIFERENTES CONFORME O PAÍS E FABRICANTE.

Acocarb México
Celdaz Índia, Peru
Dabaz Brasil, Índia
Dacarba Índia
Dacarbazin Austria, Hungria, Malásia, Polonia
Dacarbazina Argentina, Brasil, Chilli, Colômbia, Equator, Espanha, Itália, México, Peru
Dacarbazine Australia, Bélgica, Canadá, Dinamarca, Estados Unidos de América, Gran-bretanha, Índia, Irã, Irlanda, nova Zelândia, Suècia
Dacarex Índia
Dacarin Índia
Dacarpalm Peru
Dacarzine Índia
Dacin Eslovenia, Suicia
Dacmed Índia
Daracina Colômbia
Deticene Arábia Saudita, França, Grècia, Países Baixos, Portugal
Detimedac Alemanha, Colômbia, Romènia, Tunísia
DTIC Austria, Estados Unidos de América, nova Zelândia
Fauldetic Portugal
Oncocarbil Argentina, Equator, Peru
Tiferomed México
Estabilidade em soluções simples   injetável   Estabilidade em soluções simples : Dacarbazine     
Embalagem Solvente concentração temperatura conservação Duração da estabilidade Bibliografia
vidro Agua para injectaveis 10 mg/ml 25°C ao abrigo da luz
15 hora
3266
Dados estabilidade do fabricante

vidro Agua para injectaveis 10 mg/ml 6-8°C ao abrigo da luz
14 dia
3266
Dados estabilidade do fabricante

vidro Agua para injectaveis 11 mg/ml 2-6°C ao abrigo da luz
7 dia
1635
Nível de evidência B

vidro Agua para injectaveis 11 mg/ml 20-25°C ao abrigo da luz
96 hora
1635
Nível de evidência B

vidro cloreto de sódio 0,9% 0,64 mg/ml 23°C ao abrigo da luz
48 hora
1501
Nível de evidência A

vidro cloreto de sódio 0,9% 0,64 mg/ml 4°C ao abrigo da luz
48 hora
1501
Nível de evidência A

Cloreto de polivinilo cloreto de sódio 0,9% 0,64 mg/ml 23°C ao abrigo da luz
48 hora
1501
Nível de evidência A

Cloreto de polivinilo cloreto de sódio 0,9% 0,64 mg/ml 4°C ao abrigo da luz
48 hora
1501
Nível de evidência A

Cloreto de polivinilo cloreto de sódio 0,9% 1,6 mg/ml 4°C ao abrigo da luz
30 dia
40
Nível de evidência D

Cloreto de polivinilo Glucose 5% 1,4 mg/ml 2-6°C ao abrigo da luz
168 hora
1635
Nível de evidência B

Cloreto de polivinilo Glucose 5% 1,4 mg/ml 20°C-25°C ao abrigo da luz
72 hora
1635
Nível de evidência B

Cloreto de polivinilo Glucose 5% 1,6 mg/ml 4°C ao abrigo da luz
30 dia
40
Nível de evidência D

Polietileno cloreto de sódio 0,9% 0,64 mg/ml 23°C ao abrigo da luz
48 hora
1501
Nível de evidência A

Polietileno cloreto de sódio 0,9% 0,64 mg/ml 4°C ao abrigo da luz
48 hora
1501
Nível de evidência A

no especificado cloreto de sódio 0,9% mg/ml 25°C ao abrigo da luz
9 hora
3266
Dados estabilidade do fabricante

no especificado cloreto de sódio 0,9% mg/ml 6-8°C ao abrigo da luz
6 dia
3266
Dados estabilidade do fabricante

no especificado Glucose 5% mg/ml 25°C ao abrigo da luz
9 hora
3266
Dados estabilidade do fabricante

no especificado Glucose 5% mg/ml 6-8°C ao abrigo da luz
6 dia
3266
Dados estabilidade do fabricante


  Mentions Légales