Última actualización :
27/04/2026
fármacos contra el cáncer   Dacarbazine  
Inyectables
Estabilidad en solucion Estabilidad en mezcla Factores que influyen sobre la estabilidad Compatibilidades método de inyección Bibliografía pdf
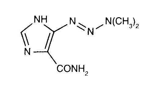
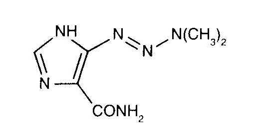
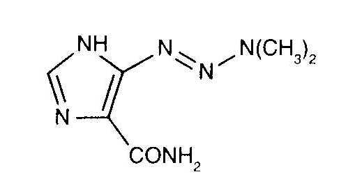
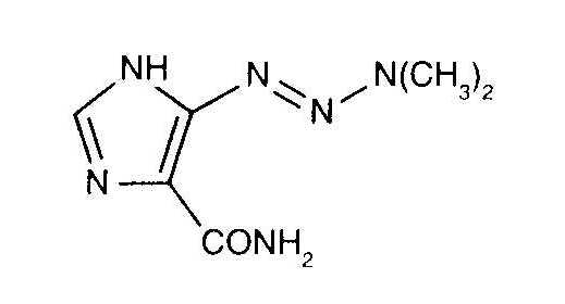
   Estructura química  

Nombre comercial   Nombre comercial     

Los nombres comerciales son orientativos y los excipientes de la formulación pueden ser distintos dependiendo del país y del laboratorio fabricante.

Acocarb México
Celdaz India, Marruecos
Dabaz Brasil, India
Dacarba India
Dacarbazin Austria, Hungría, Malasia, Polonia
Dacarbazina Argentina, Brasil, Chile, Colombia, Ecuador, España, Italia, Marruecos, México
Dacarbazine Australia, Bélgica, Canadá, Dinamarca, Estados Unidos de América, Gran Bretaña, India, Irán, Irlanda, Nueva Zelanda, Suecia
Dacarex India
Dacarin India
Dacarpalm Marruecos
Dacarzine India
Dacin Eslovenia, Suiza
Dacmed India
Daracina Colombia
Deticene Arabia Saudita, Francia, Grecia, Países Bajos, Portugal
Detimedac Alemania, Colombia, Rumania, Túnez
DTIC Austria, Estados Unidos de América, Nueva Zelanda
Fauldetic Portugal
Oncocarbil Argentina, Ecuador, Marruecos
Tiferomed México
Estabilidad en solucion   Inyectables   Estabilidad en solucion : Dacarbazine     
Envase Solvente Concentración Temperatura Conservación Duración de la estabilidad Bibliografía
Vidrio Agua para preparación inyectable 10 mg/ml 25°C A cubierto de la luz
15 Hora
3266
Datos de estabilidad del fabricante

Vidrio Agua para preparación inyectable 10 mg/ml 6-8°C A cubierto de la luz
14 Día
3266
Datos de estabilidad del fabricante

Vidrio Agua para preparación inyectable 11 mg/ml 2-6°C A cubierto de la luz
7 Día
1635
Nivel de evidencia B

Vidrio Agua para preparación inyectable 11 mg/ml 20-25°C A cubierto de la luz
96 Hora
1635
Nivel de evidencia B

Vidrio Cloruro de sodio 0,9% 0,64 mg/ml 23°C A cubierto de la luz
48 Hora
1501
Nivel de evidencia A

Vidrio Cloruro de sodio 0,9% 0,64 mg/ml 4°C A cubierto de la luz
48 Hora
1501
Nivel de evidencia A

Cloruro de polivinilo Cloruro de sodio 0,9% 0,64 mg/ml 23°C A cubierto de la luz
48 Hora
1501
Nivel de evidencia A

Cloruro de polivinilo Cloruro de sodio 0,9% 0,64 mg/ml 4°C A cubierto de la luz
48 Hora
1501
Nivel de evidencia A

Cloruro de polivinilo Cloruro de sodio 0,9% 1,6 mg/ml 4°C A cubierto de la luz
30 Día
40
Nivel de evidencia D

Cloruro de polivinilo Glucosa 5% 1,4 mg/ml 2-6°C A cubierto de la luz
168 Hora
1635
Nivel de evidencia B

Cloruro de polivinilo Glucosa 5% 1,4 mg/ml 20°C-25°C A cubierto de la luz
72 Hora
1635
Nivel de evidencia B

Cloruro de polivinilo Glucosa 5% 1,6 mg/ml 4°C A cubierto de la luz
30 Día
40
Nivel de evidencia D

Polietileno Cloruro de sodio 0,9% 0,64 mg/ml 23°C A cubierto de la luz
48 Hora
1501
Nivel de evidencia A

Polietileno Cloruro de sodio 0,9% 0,64 mg/ml 4°C A cubierto de la luz
48 Hora
1501
Nivel de evidencia A

No precisado Cloruro de sodio 0,9% mg/ml 25°C A cubierto de la luz
9 Hora
3266
Datos de estabilidad del fabricante

No precisado Cloruro de sodio 0,9% mg/ml 6-8°C A cubierto de la luz
6 Día
3266
Datos de estabilidad del fabricante

No precisado Glucosa 5% mg/ml 25°C A cubierto de la luz
9 Hora
3266
Datos de estabilidad del fabricante

No precisado Glucosa 5% mg/ml 6-8°C A cubierto de la luz
6 Día
3266
Datos de estabilidad del fabricante


  Mentions Légales