Последно актуализиране :
27/04/2026
противораково лекарство   Dacarbazine  
Инжекция/Инжекционен
Стабилност на разтвори Стабилност на смеси Фактори, повлияващи стабилността Съвместимост Път на въвеждане Библиография Pdf
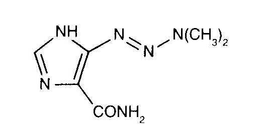
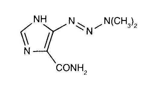
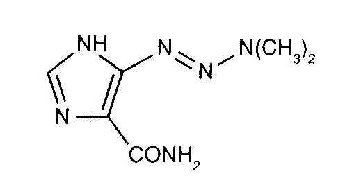
   Химична структура  

Търговско наименование   Търговско наименование     

Търговските имена са примерни и съставът на помощните вещества може да бъде различен в зависимост от държавата и лабораториите

Acocarb Мексико
Celdaz Индия, Перу
Dabaz Бразилия, Индия
Dacarba Индия
Dacarbazin Австрия, Малайзия, Полша, Унгария
Dacarbazina Аржентина, Бразилия, Еквадор, Испания, Италия, Колумбия, Мексико, Перу, Чили
Dacarbazine Австралия, Белгия, Великобритания, Дания, Индия, Иран, Ирландия, Канада, нова Зеландия, Съединени Американски щати / САЩ, Швеция
Dacarex Индия
Dacarin Индия
Dacarpalm Перу
Dacarzine Индия
Dacin Словения, Швейцария
Dacmed Индия
Daracina Колумбия
Deticene Гърция, Португалия, Саудитска Арабия, Франция, Холандия
Detimedac Германия, Колумбия, Румъния, Тунис
DTIC Австрия, нова Зеландия, Съединени Американски щати / САЩ
Fauldetic Португалия
Oncocarbil Аржентина, Еквадор, Перу
Tiferomed Мексико
Път на въвеждане   Път на въвеждане :Dacarbazine     
Voie
Интравенозна инфузия
Интраартериално

  Mentions Légales