Последнее обновление :
27/04/2026
Цитостатическое средство   Dacarbazine  
Инъекция
Стабильность растворов Стабильность смесей Факторы, которые влияют на стабильность Совместимость Способы введения Библиография pdf
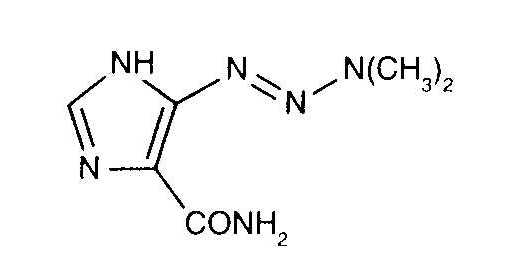
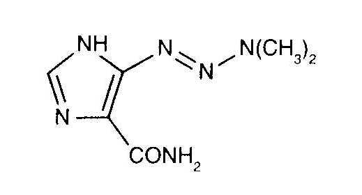
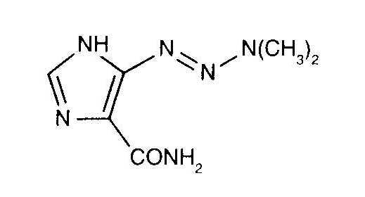
   Химическая структура  

Товарное название   Товарное название     

Trade names are indicative and excipients composition can be different depending on the country and manufacturers

Acocarb Мексика
Celdaz Индия, Перу
Dabaz Бразилия, Индия
Dacarba Индия
Dacarbazin Австрия, Венгрия, Малайзия, Польша
Dacarbazina Аргентина, Бразилия, Испания, Италия, Колумбия, Мексика, Перу, чили, Эквадор
Dacarbazine Австралия, Бельгия, Великобритания, Дания, Индия, Иран, Ирландия, Канада, новая Зеландия, Соединённые Штаты Америки, Швеция
Dacarex Индия
Dacarin Индия
Dacarpalm Перу
Dacarzine Индия
Dacin Словения, Швейцария
Dacmed Индия
Daracina Колумбия
Deticene Голландия, Греция, Португалия, Саудовская Аравия, Франция
Detimedac Германия, Колумбия, Румыния, Тунис
DTIC Австрия, новая Зеландия, Соединённые Штаты Америки
Fauldetic Португалия
Oncocarbil Аргентина, Перу, Эквадор
Tiferomed Мексика
Способы введения   Способы введения :Dacarbazine     
Voie
Интравенная, внутривенная инфузия
Интрартериальный

  Mentions Légales