Senaste uppdateringen :
27/04/2026
cancerläkemedel   Dacarbazine  
injektion
Lösningars stabilitet Stabilitet i blandningar Faktorer som påverkar stabiliteten Kompatibilitet Administreringssätt Hänvisningar pdf
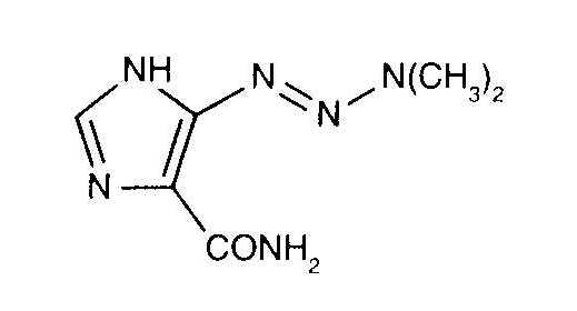
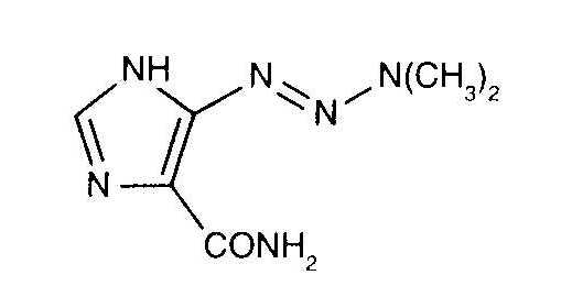
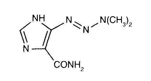
   Molekylstruktur  

Varunamn   Varunamn     

Angivna handelsnamn på läkemedel är enbart vägledande då formulering inklusive hjälpämnen kan variera mellan länder och tillverkare

Acocarb Mexiko
Celdaz Indien, Peru
Dabaz Brasilien, Indien
Dacarba Indien
Dacarbazin Malaysia, Österrike, Polen, Ungern
Dacarbazina Argentina, Brasilien, Chile, Colombia, Ecuador, Italien, Mexiko, Peru, Spanien
Dacarbazine Australien, Belgien, Danmark, Förenta Staterna, Indien, Iran, Irland, Kanada, nya Zeeland, Storbritannien, Sverige
Dacarex Indien
Dacarin Indien
Dacarpalm Peru
Dacarzine Indien
Dacin Schweiz, Slovenien
Dacmed Indien
Daracina Colombia
Deticene Frankrike, Grekland, Nederländerna, Portugal, Saudi-Arabien
Detimedac Colombia, Rumänien, Tunisien, Tyskland
DTIC Förenta Staterna, nya Zeeland, Österrike
Fauldetic Portugal
Oncocarbil Argentina, Ecuador, Peru
Tiferomed Mexiko
Administreringssätt   Administreringssätt :Dacarbazine     
Voie
Intravenös infusion
Intraarteriell

  Mentions Légales