Última actualização :
27/04/2026
droga contra o câncer   Dacarbazine  
injetável
Estabilidade em soluções simples Estabilidade em misturas Factores que afectam a sua estabilidade Compatibilidade Método de administração Bibliografía pdf
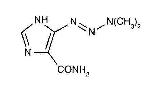
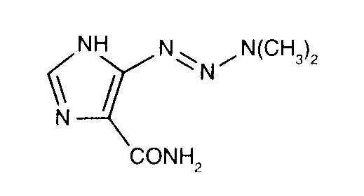
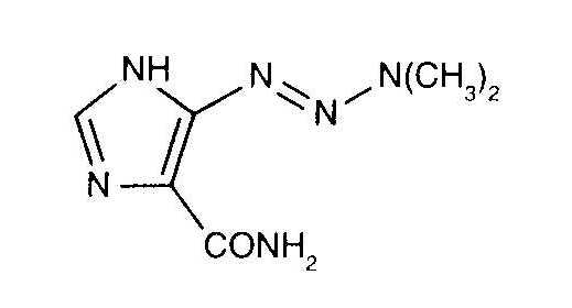
   estrutura química  

Nomes comerciais nos diversos países   Nomes comerciais nos diversos países     

OS NOMES COMERCIAIS SÃO INDICATIVOS E OS EXCIPIENTES DA FORMULAÇÃO PODEM SER DIFERENTES CONFORME O PAÍS E FABRICANTE.

Acocarb México
Celdaz Índia, Peru
Dabaz Brasil, Índia
Dacarba Índia
Dacarbazin Austria, Hungria, Malásia, Polonia
Dacarbazina Argentina, Brasil, Chilli, Colômbia, Equator, Espanha, Itália, México, Peru
Dacarbazine Australia, Bélgica, Canadá, Dinamarca, Estados Unidos de América, Gran-bretanha, Índia, Irã, Irlanda, nova Zelândia, Suècia
Dacarex Índia
Dacarin Índia
Dacarpalm Peru
Dacarzine Índia
Dacin Eslovenia, Suicia
Dacmed Índia
Daracina Colômbia
Deticene Arábia Saudita, França, Grècia, Países Baixos, Portugal
Detimedac Alemanha, Colômbia, Romènia, Tunísia
DTIC Austria, Estados Unidos de América, nova Zelândia
Fauldetic Portugal
Oncocarbil Argentina, Equator, Peru
Tiferomed México
Método de administração   Método de administração :Dacarbazine     
Voie
perfusão intravenosa
Intra-arterial

  Mentions Légales