Posledná aktualizácia :
27/04/2026
Protinádorová liečba   Dacarbazine  
Injekcia
Stabilita roztokov Stabilita v zmesiach Faktory ovplyvňujúce stabilitu Kompatibility spôsob podania Odkazy na literatúru PDF
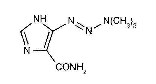
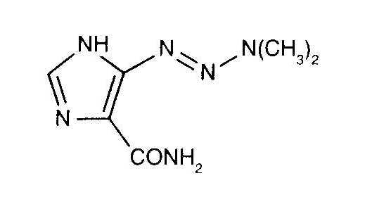
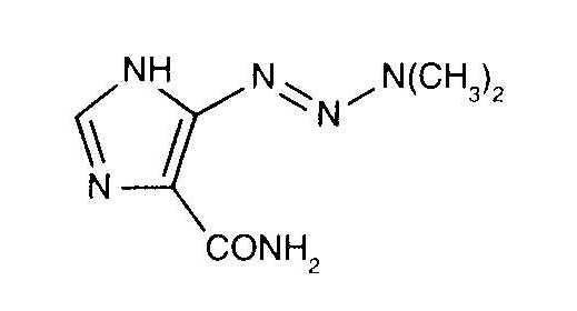
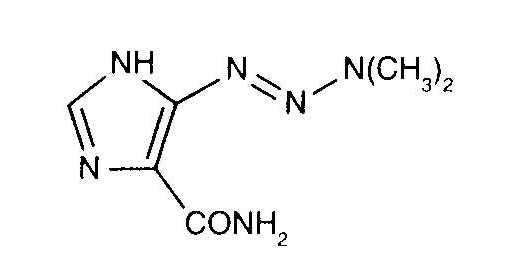
   Chemický vzorec  

Obchodný názov   Obchodný názov     

Obchodné názvy sú orientačné, a zloženie pomocných látok sa môže líšiť v závislosti od krajiny a výrobcu.

Acocarb Mexiko
Celdaz India, peru
Dabaz Brazília, India
Dacarba India
Dacarbazin Maďarsko, Malajzia, Poľsko, Rakúsko
Dacarbazina Argentína, Brazília, Čile, Ekvádor, Kolumbia, Mexiko, peru, Španielsko, Taliansko
Dacarbazine Austrália, Belgicko, Dánsko, India, Irán, Írsko, Kanada, nový Zéland, Spojené štáty Americké, Švédsko, Veľká Británia
Dacarex India
Dacarin India
Dacarpalm peru
Dacarzine India
Dacin Slovinsko, Švajčiarsko
Dacmed India
Daracina Kolumbia
Deticene Francúzsko, Grécko, Holandsko, Portugalsko, Saudská Arábia
Detimedac Kolumbia, Nemecko, Rumunsko, Tunisko
DTIC nový Zéland, Rakúsko, Spojené štáty Americké
Fauldetic Portugalsko
Oncocarbil Argentína, Ekvádor, peru
Tiferomed Mexiko
spôsob podania   spôsob podania :Dacarbazine     
Voie
intravenózna infúzia
intraarteriálne

  Mentions Légales