Zadnji put ažurirano :
27/11/2025
lijek protiv karcinoma   Dacarbazine  
injekcija
Stabilizacija rješenja Stabilnost mješavine Stabilizacijski faktor Kompatibilnosti način davanja lijeka Bibliografija pdf
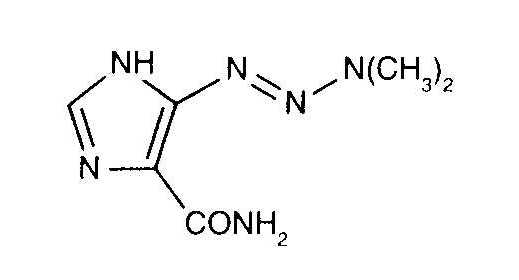
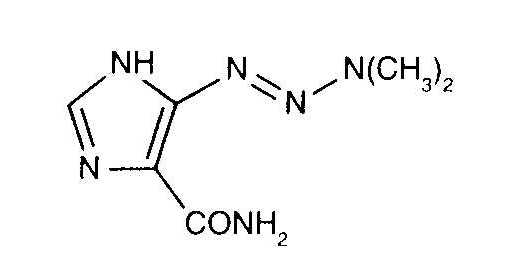
   Kemijska struktura  

Nekomercijalni   Nekomercijalni     

Zaštićeni nazivi su indikativni i sastav ekscipijensa može biti različit ovisno o državi i laboratorijima

Acocarb Meksiko
Celdaz Indija, Peru
Dabaz Indija, Brazil
Dacarba Indija
Dacarbazin Austrija, Madžarska, Malezija, Poljska
Dacarbazina Argentina, Brazil, Čile, Ekvador, Italija, Kolumbija, Meksiko, Peru, Španjolska
Dacarbazine Indija, Australija, Belgija, Danska, Iran, Irska, Kanada, novi Zeland, S A D, Švedska, Velika Britanija
Dacarex Indija
Dacarin Indija
Dacarpalm Peru
Dacarzine Indija
Dacin Slovenija, Švicarska
Dacmed Indija
Daracina Kolumbija
Deticene Francuska, Grčka, Nizozemska, Portugal, Saudijska Arabija
Detimedac Kolumbija, Njemačka, Rumunjska, Tunis
DTIC Austrija, novi Zeland, S A D
Fauldetic Portugal
Oncocarbil Argentina, Ekvador, Peru
Tiferomed Meksiko
način davanja lijeka   način davanja lijeka :Dacarbazine     
Voie
intravenozna infuzija
intraarterijalna

  Mentions Légales