Dernière mise à jour :
27/04/2026
Anticancéreux   Dacarbazine  
injectable
Stabilité des solutions Stabilité en mélange Facteur influençant la stabilité Compatibilités Voie d’administration Bibliographie pdf
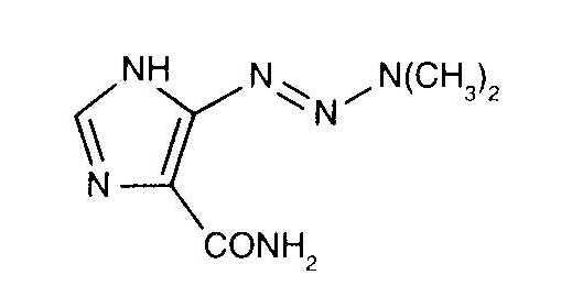
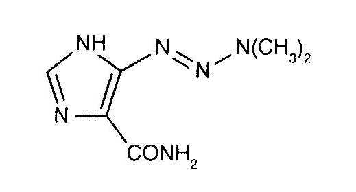
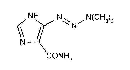
   Structure chimique  

Noms commerciaux   Noms commerciaux     

Les noms commerciaux sont donnés à titre indicatif et la composition en excipients peut être différente selon les pays et selon les laboratoires

Acocarb Mexique
Celdaz Inde, Pérou
Dabaz Brésil, Inde
Dacarba Inde
Dacarbazin Autriche, Hongrie, Malaisie, Pologne
Dacarbazina Argentine, Brésil, Chili, Colombie, Equateur, Espagne, Italie, Mexique, Pérou
Dacarbazine Australie, Belgique, Canada, Danemark, Etats Unis d’Amérique, Grande Bretagne, Inde, Iran, Irlande, Nouvelle Zélande, Suède
Dacarex Inde
Dacarin Inde
Dacarpalm Pérou
Dacarzine Inde
Dacin Slovénie, Suisse
Dacmed Inde
Daracina Colombie
Deticene Arabie Saoudite, France, Grèce, Pays bas, Portugal
Detimedac Allemagne, Colombie, Roumanie, Tunisie
DTIC Autriche, Etats Unis d’Amérique, Nouvelle Zélande
Fauldetic Portugal
Oncocarbil Argentine, Equateur, Pérou
Tiferomed Mexique
Voie d’administration   Voie d’administration :Dacarbazine     
Voie
Perfusion intraveineuse
Intraartérielle

  Mentions Légales