Last update :
27/11/2025
Anticancer drug   Dacarbazine  
injection
Stability in solutions Stability of mixtures Factors which affect stability Compatibility Route of administration References pdf
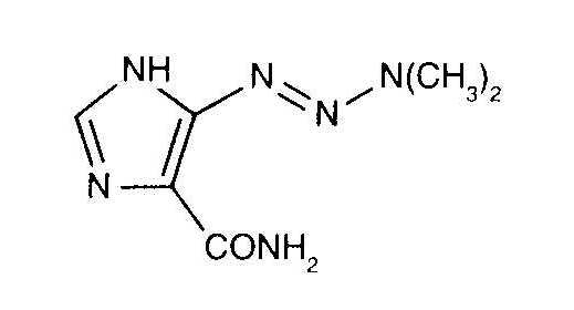
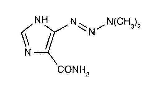
   Chemical structure  

Tradename   Tradename     

Trade names are indicative and excipients composition can be different depending on the country and manufacturers

Acocarb Mexico
Celdaz India, Peru
Dabaz Brazil, India
Dacarba India
Dacarbazin Austria, Hungary, Malaysia, Poland
Dacarbazina Argentina, Brazil, Chile, Colombia, Ecuador, Italy, Mexico, Peru, Spain
Dacarbazine Australia, Belgium, Canada, Denmark, Great Britain, India, Iran, Ireland, New Zealand, Sweden, United States of America
Dacarex India
Dacarin India
Dacarpalm Peru
Dacarzine India
Dacin Slovenia, Switzerland
Dacmed India
Daracina Colombia
Deticene France, Greece, Netherlands, Portugal, Saudi Arabia
Detimedac Colombia, Germany, Romania, Tunisia
DTIC Austria, New Zealand, United States of America
Fauldetic Portugal
Oncocarbil Argentina, Ecuador, Peru
Tiferomed Mexico
Route of administration   Route of administration :Dacarbazine     
Route
Intravenous infusion
Intra-arterial

  Mentions Légales