Última actualización :
27/04/2026
fármacos contra el cáncer   Cyclophosphamide  
Inyectables
Cápsula Solución Oral
Estabilidad en solucion Estabilidad en mezcla Factores que influyen sobre la estabilidad Compatibilidades método de inyección Bibliografía pdf
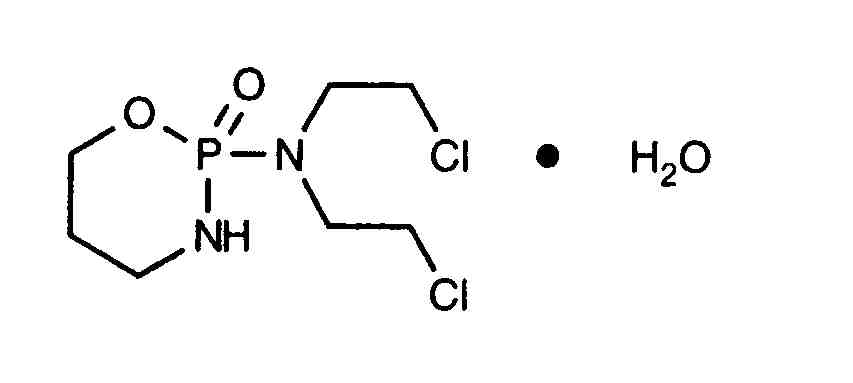
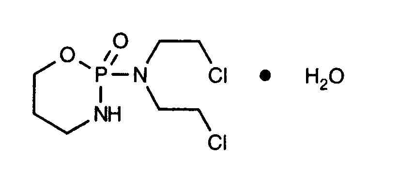
   Estructura química  

Nombre comercial   Nombre comercial     

Los nombres comerciales son orientativos y los excipientes de la formulación pueden ser distintos dependiendo del país y del laboratorio fabricante.

Alkyloxan Egipto, Malasia
Celomide India
Ciclofosfamida Argentina, Chile, Rumania
Cicloxal España
Cryofaxol México
Cycloblastin Australia
Cycloblastine Países Bajos
Cyclophosphamid Alemania, Dinamarca
Cyclophosphamide Arabia Saudita, Estados Unidos de América, Gran Bretaña, Nueva Zelanda
Cyclostin Alemania
Cycloxan Malasia
Cycram Egipto
Cytoxan Canadá, Estados Unidos de América, Hungría
Eldamide India
Endoxan Alemania, Arabia Saudita, Australia, Austria, Bélgica, Chile, Colombia, Croacia, Ecuador, Emiratos Árabes Unidos, Eslovenia, Francia, Grecia, Hungría, India, Irán, Italia, Luxemburgo, Marruecos, Nueva Zelanda, Países Bajos, Polonia, Portugal, Suiza, Tailandia, Túnez, Turquía, Venezuela
Endoxana Gran Bretaña, Irlanda
Formitex Colombia, México
Genoxal España
Genuxal Brasil
Hidrofosmin México
Ledoxan Colombia
Ledoxina Colombia, México
Neophos Egipto
Neosar Estados Unidos de América
Procytox Canadá
Sendoxan Dinamarca, Finlandia, Islandia, Noruega, Suecia
Syklofosfamid Finlandia, Turquía

Factores que influyen sobre la estabilidad   Inyectables   Factores que influyen sobre la estabilidad : Cyclophosphamide        
Bibliografía
Temperatura Aumento Provoque Degradación 172
Temperatura >70°C Provoque Degradación 170

  Mentions Légales