Ultimele actualizari :
27/04/2026
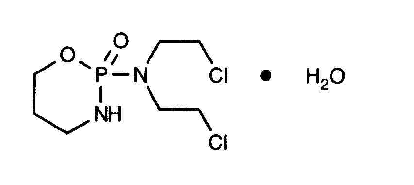
Citostatic   Cyclophosphamide  
Injectabil
Capsulă Soluţie orală
Stabilitatea in solutie Stabilitatea in amestec Factorii care influenteaza stabilitatea Compatibilitate Microunde Bibliografie pdf
   Formula chimica  

Denumirea comerciala   Denumirea comerciala     

Trade names are indicative and excipients composition can be different depending on the country and manufacturers

Alkyloxan Egipt, Malaezia
Celomide India
Ciclofosfamida Argentina, Chilli, Romania
Cicloxal Spania
Cryofaxol Mexic
Cycloblastin Australia
Cycloblastine Olanda
Cyclophosphamid Danemarca, Germania
Cyclophosphamide Arabia Saudita, Marea Britanie, noua Zeelandă, SUA
Cyclostin Germania
Cycloxan Malaezia
Cycram Egipt
Cytoxan Canada, SUA, Ungaria
Eldamide India
Endoxan Arabia Saudita, Australia, Austria, Belgia, Chilli, Columbia, Croatia, Ecuador, Elvetia, Emiratele Arabe Unite, Franta, Germania, Grecia, India, Iran, Italia, Luxemburg, Maroc, noua Zeelandă, Olanda, Polonia, Portugalia, Slovenia, Tailanda, Tunisia, Turcia, Ungaria, Venezuela
Endoxana Irlanda, Marea Britanie
Formitex Columbia, Mexic
Genoxal Spania
Genuxal Brazilia
Hidrofosmin Mexic
Ledoxan Columbia
Ledoxina Columbia, Mexic
Neophos Egipt
Neosar SUA
Procytox Canada
Sendoxan Danemarca, Finlanda, Islanda, Norvegia, Suedia
Syklofosfamid Finlanda, Turcia

Factorii care influenteaza stabilitatea   Injectabil   Factorii care influenteaza stabilitatea : Cyclophosphamide        
Bibiografie
Temperatura Cresterea Provoaca Degradare 172
Temperatura >70°C Provoaca Degradare 170

  Mentions Légales