Ostatnia aktualizacja :
27/04/2026
Lek cytostatyk   Cyclophosphamide  
Injekcje
Kapsułka Roztwór doustny
Trwałość roztworów Trwałość w mieszaninie Czynnik wpływający na trwałość Zgodność Sposób podania Bibliografia pdf
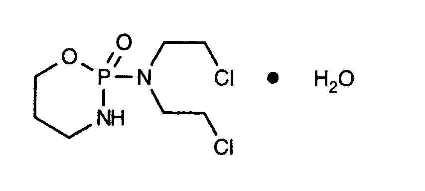
   Struktura chemiczna  

Nazwa handlowa   Nazwa handlowa     

Trade names are indicative and excipients composition can be different depending on the country and manufacturers

Alkyloxan Egipt, Malezja
Celomide Indie
Ciclofosfamida Argentyna, Chile, Rumunia
Cicloxal Hiszpania
Cryofaxol Meksyk
Cycloblastin Australia
Cycloblastine Holandia
Cyclophosphamid Dania, Niemcy
Cyclophosphamide Arabia Saudyjska, nowa Zelandia, Stany Zjednoczone Ameryki, Wielka Brytania
Cyclostin Niemcy
Cycloxan Malezja
Cycram Egipt
Cytoxan Kanada, Stany Zjednoczone Ameryki, Węgry
Eldamide Indie
Endoxan Arabia Saudyjska, Australia, Austria, Belgia, Chile, Chorwacja, Ekwador, Francja , Grecja, Holandia, Indie, Iran, KolumbiaKolumbia, Luksemburg, Maroko, Niemcy, nowa Zelandia, Polska, Portugalia, Szwajcaria, Słowenia, Tajlandia, Tunisie, Turcja, Węgry, Wenezuela, Włochy, Zjednoczone Emiraty Arabskie
Endoxana Irlandia, Wielka Brytania
Formitex KolumbiaKolumbia, Meksyk
Genoxal Hiszpania
Genuxal Brazylia
Hidrofosmin Meksyk
Ledoxan KolumbiaKolumbia
Ledoxina KolumbiaKolumbia, Meksyk
Neophos Egipt
Neosar Stany Zjednoczone Ameryki
Procytox Kanada
Sendoxan Dania, Finlandia, Islandia, Norwegia, Szwecja
Syklofosfamid Finlandia, Turcja

Czynnik wpływający na trwałość   Injekcje   Czynnik wpływający na trwałość : Cyclophosphamide        
Bibliografia
Temperatura Zwiększenie Wywołuje Degradacja 172
Temperatura >70°C Wywołuje Degradacja 170

  Mentions Légales