viimane versioon :
27/04/2026
vähiravimite   Cyclophosphamide  
Süsteravim
kapsel suukaudne lahus
Stabiilsus lahustes Stabiilsust mõjutavad tegurid stabiilsust mõjutavad faktorid Sobimatus Manustamis viis Viited pdf
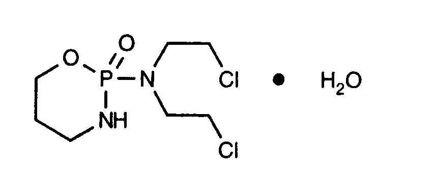
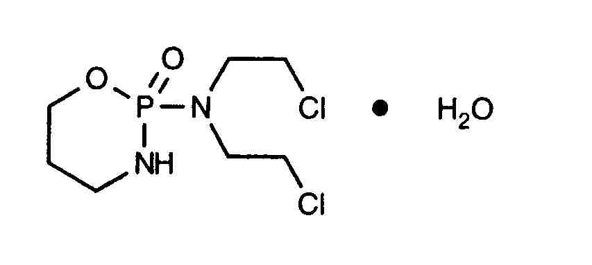
   keemiline struktuur  

Kaubanduslikud nimed erinevates maades   Kaubanduslikud nimed erinevates maades     

Preparaatide nimed on näitlikud ja abianete sisaldus võib erineda sõltuvalt riigist ja laborist

Alkyloxan Egiptus, Malaisia
Celomide India
Ciclofosfamida Argentiina, Rumeenia, Tšiili
Cicloxal Hispaania
Cryofaxol Mehhiko
Cycloblastin Austraalia
Cycloblastine Holland
Cyclophosphamid Saksamaa, Taani
Cyclophosphamide Ameerika ühendriigid, Saudi Araabia, Suurbritannia, uus-Meremaa
Cyclostin Saksamaa
Cycloxan Malaisia
Cycram Egiptus
Cytoxan Ameerika ühendriigid, Kanada, Ungari
Eldamide India
Endoxan Araabia Ühendemiraadid, Austraalia, Austria, Belgia, Ecuador, Holland, Horvaatia, India, Iraan, Itaalia, Kolumbia, Kreeka, Luksemburg, Maroko, Poola, Portugal, Prantsusmaa, Saksamaa, Saudi Araabia, Sloveenia, Sveits, Tai, Tšiili, Tuneesia, Türgi, Ungari, uus-Meremaa, Venetsueela
Endoxana Iirimaa, Suurbritannia
Formitex Kolumbia, Mehhiko
Genoxal Hispaania
Genuxal Brasiilia
Hidrofosmin Mehhiko
Ledoxan Kolumbia
Ledoxina Kolumbia, Mehhiko
Neophos Egiptus
Neosar Ameerika ühendriigid
Procytox Kanada
Sendoxan Island, Norra, Rootsi, Soome, Taani
Syklofosfamid Soome, Türgi

stabiilsust mõjutavad faktorid   Süsteravim   stabiilsust mõjutavad faktorid : Cyclophosphamide        
Viited
temperatuur suurenemine indutseerib degradatsioon 172
temperatuur >70°C indutseerib degradatsioon 170

  Mentions Légales