最新更新 :
27/04/2026
細胞増殖抑制薬   Cyclophosphamide  
注射薬
カプセル 経口液
溶媒内の安定性 混合時の安定性 安定性に影響する因子 互換性 投与経路 引用文献 PDF
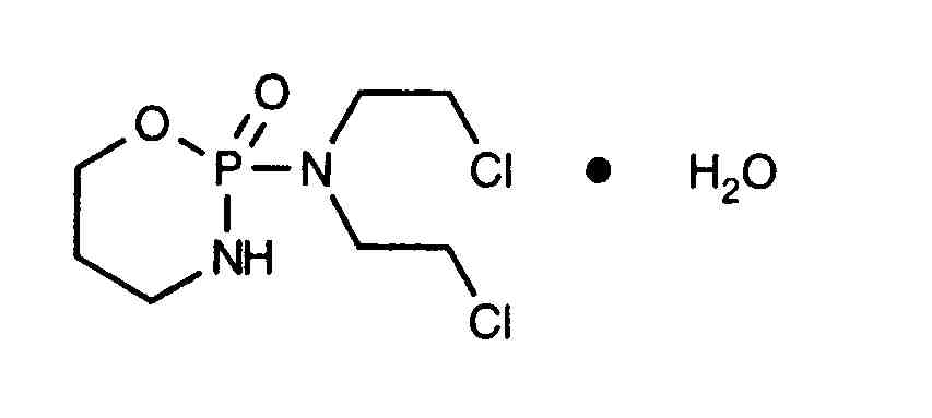
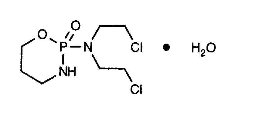
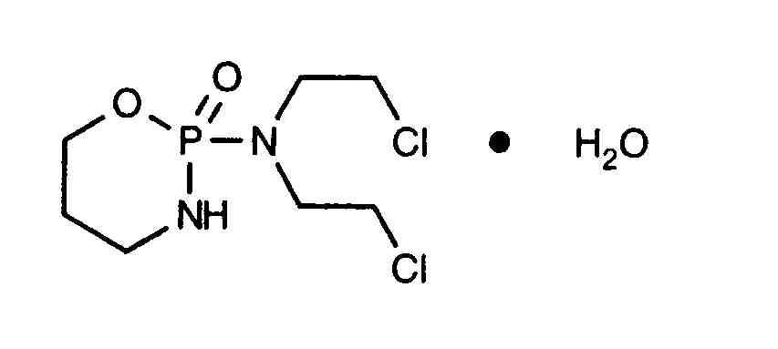
   化学構造  

商品名   商品名     

商品名、賦形剤は国、製薬会社ごとに異なることがあります

Alkyloxan エジプト, マレーシア
Celomide インド
Ciclofosfamida アルゼンチン, チリ, ルーマニア
Cicloxal スペイン
Cryofaxol メキシコ
Cycloblastin アーストラリア
Cycloblastine オランダ
Cyclophosphamid デンマーク, ドイツ
Cyclophosphamide アメリカ, イギリス, サウジアラビア, ニュージーランド
Cyclostin ドイツ
Cycloxan マレーシア
Cycram エジプト
Cytoxan アメリカ, カナダ, ハンガリー
Eldamide インド
Endoxan アラブ首長国連邦, アーストラリア, イタリア, イラン, インド, エクアドル, オランダ, オーストリア, ギリシア, クロアチア, コロンビア, サウジアラビア, スイス, スロベニア, タイ, チュニジア, チリ, トルコ, ドイツ, ニュージーランド, ハンガリー, フランス, ベネズエラ, ベルギー, ポルトガル, ポーランド, モロッコ, ルクセンブルグ
Endoxana アイルランド, イギリス
Formitex コロンビア, メキシコ
Genoxal スペイン
Genuxal ブラジル
Hidrofosmin メキシコ
Ledoxan コロンビア
Ledoxina コロンビア, メキシコ
Neophos エジプト
Neosar アメリカ
Procytox カナダ
Sendoxan アイスランド, スウェーデン, デンマーク, ノルウェー, フィンランド
Syklofosfamid トルコ, フィンランド

安定性に影響する因子   注射薬   安定性に影響する因子 : Cyclophosphamide        
引用文献
温度 増加 誘導 分解 172
温度 >70°C 誘導 分解 170

  Mentions Légales