Последно актуализиране :
27/04/2026
противораково лекарство   Cyclophosphamide  
Инжекция/Инжекционен
Капсула Орален разтвор
Стабилност на разтвори Стабилност на смеси Фактори, повлияващи стабилността Съвместимост Път на въвеждане Библиография Pdf
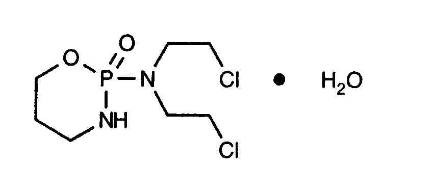
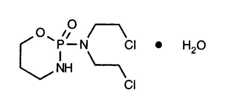
   Химична структура  

Търговско наименование   Търговско наименование     

Търговските имена са примерни и съставът на помощните вещества може да бъде различен в зависимост от държавата и лабораториите

Alkyloxan Египет, Малайзия
Celomide Индия
Ciclofosfamida Аржентина, Румъния, Чили
Cicloxal Испания
Cryofaxol Мексико
Cycloblastin Австралия
Cycloblastine Холандия
Cyclophosphamid Германия, Дания
Cyclophosphamide Великобритания, нова Зеландия, Саудитска Арабия, Съединени Американски щати / САЩ
Cyclostin Германия
Cycloxan Малайзия
Cycram Египет
Cytoxan Канада, Съединени Американски щати / САЩ, Унгария
Eldamide Индия
Endoxan Австралия, Австрия, Белгия, Венецуела, Германия, Гърция, Еквадор, Индия, Иран, Италия, Колумбия, Люксенбург, Мароко, нова Зеландия, Обединени арабски емирства, Полша, Португалия, Саудитска Арабия, Словения, Тайланд, Тунис, Турция, Унгария, Франция, Холандия, Хърватия, Чили, Швейцария
Endoxana Великобритания, Ирландия
Formitex Колумбия, Мексико
Genoxal Испания
Genuxal Бразилия
Hidrofosmin Мексико
Ledoxan Колумбия
Ledoxina Колумбия, Мексико
Neophos Египет
Neosar Съединени Американски щати / САЩ
Procytox Канада
Sendoxan Дания, Исландия, Норвегия, Финландия, Швеция
Syklofosfamid Турция, Финландия

Фактори, повлияващи стабилността   Инжекция/Инжекционен   Фактори, повлияващи стабилността : Cyclophosphamide        
Библиография
Температура Увеличаване Предизвиква Разграждане 172
Температура >70°C Предизвиква Разграждане 170

  Mentions Légales