Τελευταία ενημέρωση :
27/04/2026
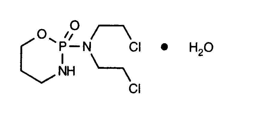
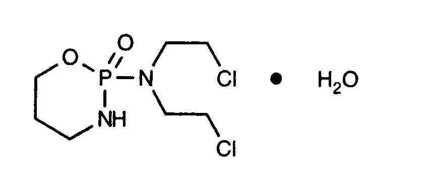
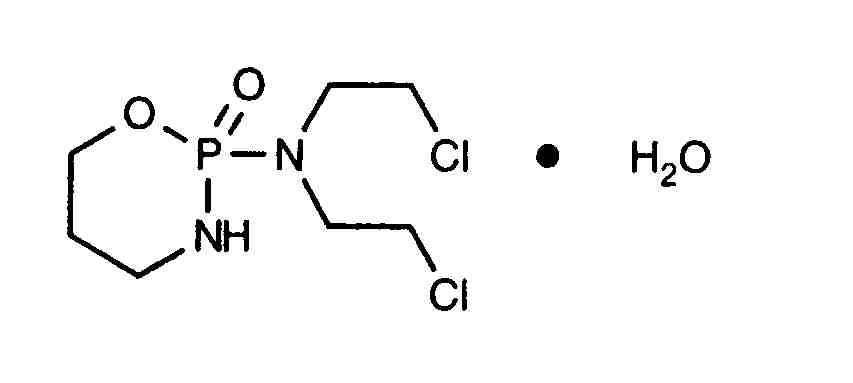
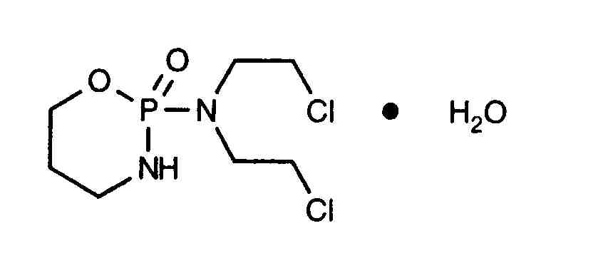
φάρμακο κατά του καρκίνου   Cyclophosphamide  
Ενέσιμο
Κάψουλα Πόσιμο διάλυμα
Σταθερότητα διαλυμάτων Σταθερότητα σε μίγματα Παράγοντας που επηρεάζει τη σταθερότητα Συμβατότητες Τρόπος χορήγησης Βιβλιογραφία pdf
   χημική δομή  

Εμπορική ονομασία   Εμπορική ονομασία     

Οι εμπορικές ονομασίες είναι ενδεικτικές και η σύνθεση των εκδόχων μπορεί να διαφέρει ανάλογα με τη χώρα και τα εργαστήρια

Alkyloxan Αίγυπτος, Μαλαισία
Celomide Ινδία
Ciclofosfamida Αργεντινή, Ρουμανία, Χιλή
Cicloxal Ισπανία
Cryofaxol Μεξικό
Cycloblastin Αυστραλία
Cycloblastine Ολλανδία
Cyclophosphamid Γερμανία, Δανία
Cyclophosphamide Η.Π.Α., Μεγάλη Βρετανία, νέα Ζηλανδία, Σαουδική Αραβία
Cyclostin Γερμανία
Cycloxan Μαλαισία
Cycram Αίγυπτος
Cytoxan Η.Π.Α., Καναδάς, Ουγγαρία
Eldamide Ινδία
Endoxan Yhdistyneet arabiemiirikunnat, Αυστραλία, Αυστρία, Βέλγιο, Βενεζουέλα, Γαλλία, Γερμανία, Εκουαδόρ, Ελβετία, Ελλάδα, Ινδία, Ιράν, Ιταλία, Κολομβία, Κροατία, Λουξεμβούργο, Μαρόκο, νέα Ζηλανδία, Ολλανδία, Ουγγαρία, Πολωνία, Πορτογαλία, Σαουδική Αραβία, Σλοβενία, Ταϊλάνδη, Τουρκία, Τυνησία, Χιλή
Endoxana Ιρλανδία, Μεγάλη Βρετανία
Formitex Κολομβία, Μεξικό
Genoxal Ισπανία
Genuxal Βραζιλία
Hidrofosmin Μεξικό
Ledoxan Κολομβία
Ledoxina Κολομβία, Μεξικό
Neophos Αίγυπτος
Neosar Η.Π.Α.
Procytox Καναδάς
Sendoxan Δανία, Ισλανδία, Νορβηγία, Σουηδία, Φινλανδία
Syklofosfamid Τουρκία, Φινλανδία

Παράγοντας που επηρεάζει τη σταθερότητα   Ενέσιμο   Παράγοντας που επηρεάζει τη σταθερότητα : Cyclophosphamide        
Βιβλιογραφία
Θερμοκρασία Αύξηση Προκαλεί Αποδόμηση 172
Θερμοκρασία >70°C Προκαλεί Αποδόμηση 170

  Mentions Légales