Última actualização :
27/04/2026
droga contra o câncer   Cyclophosphamide  
injetável
Cápsula Solução Oral
Estabilidade em soluções simples Estabilidade em misturas Factores que afectam a sua estabilidade Compatibilidade Método de administração Bibliografía pdf
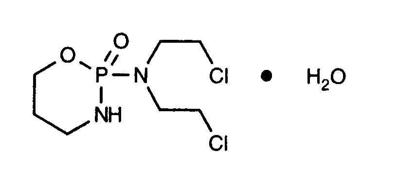
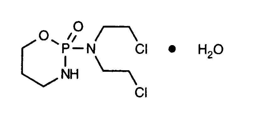
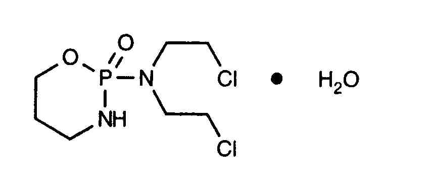
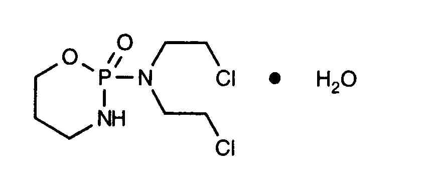
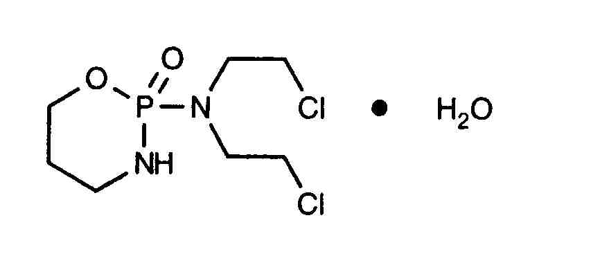
   estrutura química  

Nomes comerciais nos diversos países   Nomes comerciais nos diversos países     

OS NOMES COMERCIAIS SÃO INDICATIVOS E OS EXCIPIENTES DA FORMULAÇÃO PODEM SER DIFERENTES CONFORME O PAÍS E FABRICANTE.

Alkyloxan Egipto, Malásia
Celomide Índia
Ciclofosfamida Argentina, Chilli, Romènia
Cicloxal Espanha
Cryofaxol México
Cycloblastin Australia
Cycloblastine Países Baixos
Cyclophosphamid Alemanha, Dinamarca
Cyclophosphamide Arábia Saudita, Estados Unidos de América, Gran-bretanha, nova Zelândia
Cyclostin Alemanha
Cycloxan Malásia
Cycram Egipto
Cytoxan Canadá, Estados Unidos de América, Hungria
Eldamide Índia
Endoxan Alemanha, Arábia Saudita, Australia, Austria, Bélgica, Chilli, Colômbia, Croácia, Emirados Árabes Unidos, Equator, Eslovenia, França, Grècia, Hungria, Índia, Irã, Itália, Luxemburgo, Marrocos, nova Zelândia, Países Baixos, Polonia, Portugal, Suicia, Tailandia, Tunísia, Turquia, Venezuela
Endoxana Gran-bretanha, Irlanda
Formitex Colômbia, México
Genoxal Espanha
Genuxal Brasil
Hidrofosmin México
Ledoxan Colômbia
Ledoxina Colômbia, México
Neophos Egipto
Neosar Estados Unidos de América
Procytox Canadá
Sendoxan Dinamarca, Finlandia, Islandia, Noruega, Suècia
Syklofosfamid Finlandia, Turquia

Factores que afectam a sua estabilidade   injetável   Factores que afectam a sua estabilidade : Cyclophosphamide        
Bibliografia
temperatura Aumento Provoca Degradação 172
temperatura >70°C Provoca Degradação 170

  Mentions Légales