Останнє оновлення :
27/04/2026
Антибіотик   Colistin mesilate sodium  
ін'єкція
аерозоль
Стійкість в розчинах Стійкість сумішей Фактори, що впливають на стабільність Сумісність Шлях введення Список літератури pdf
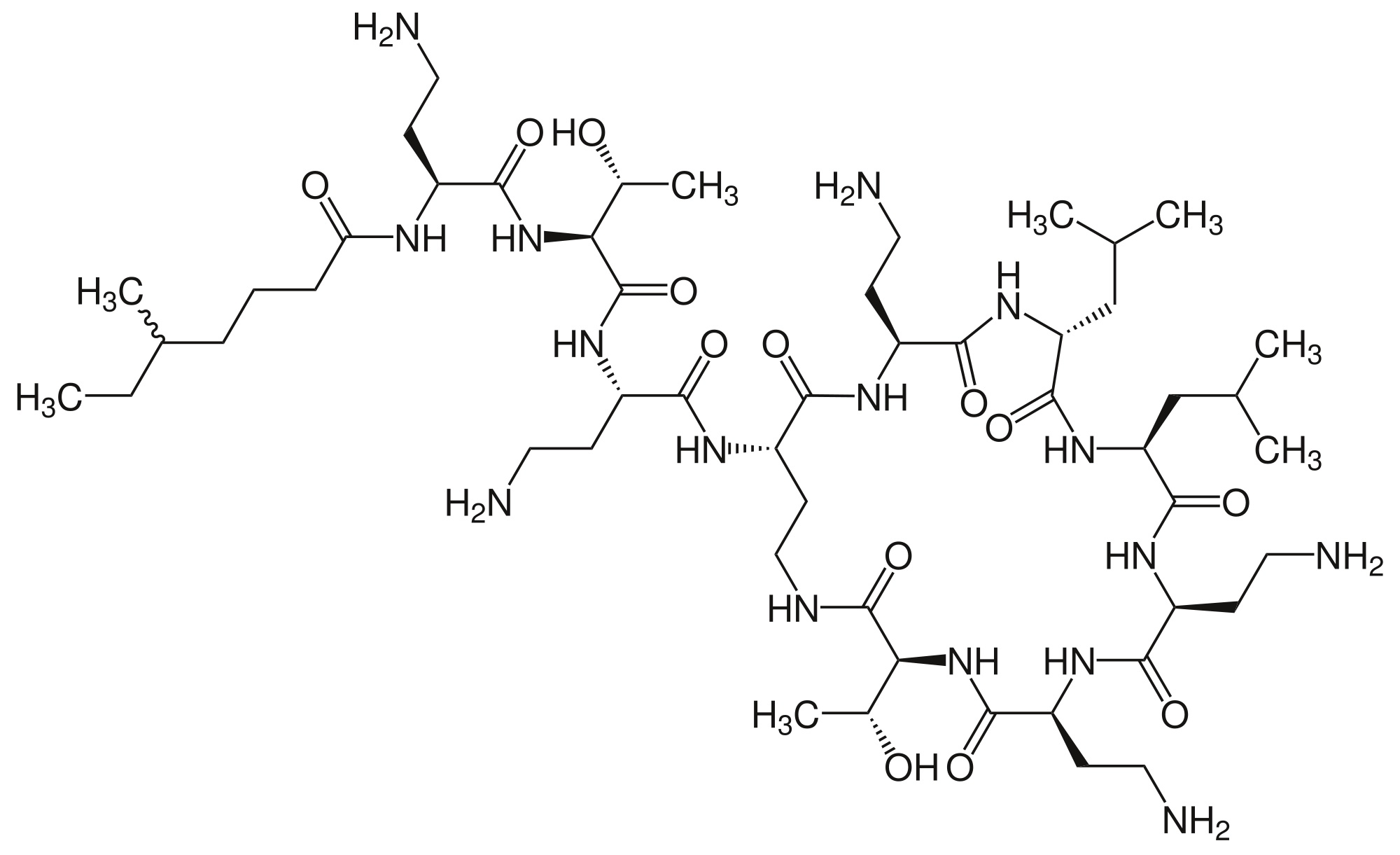
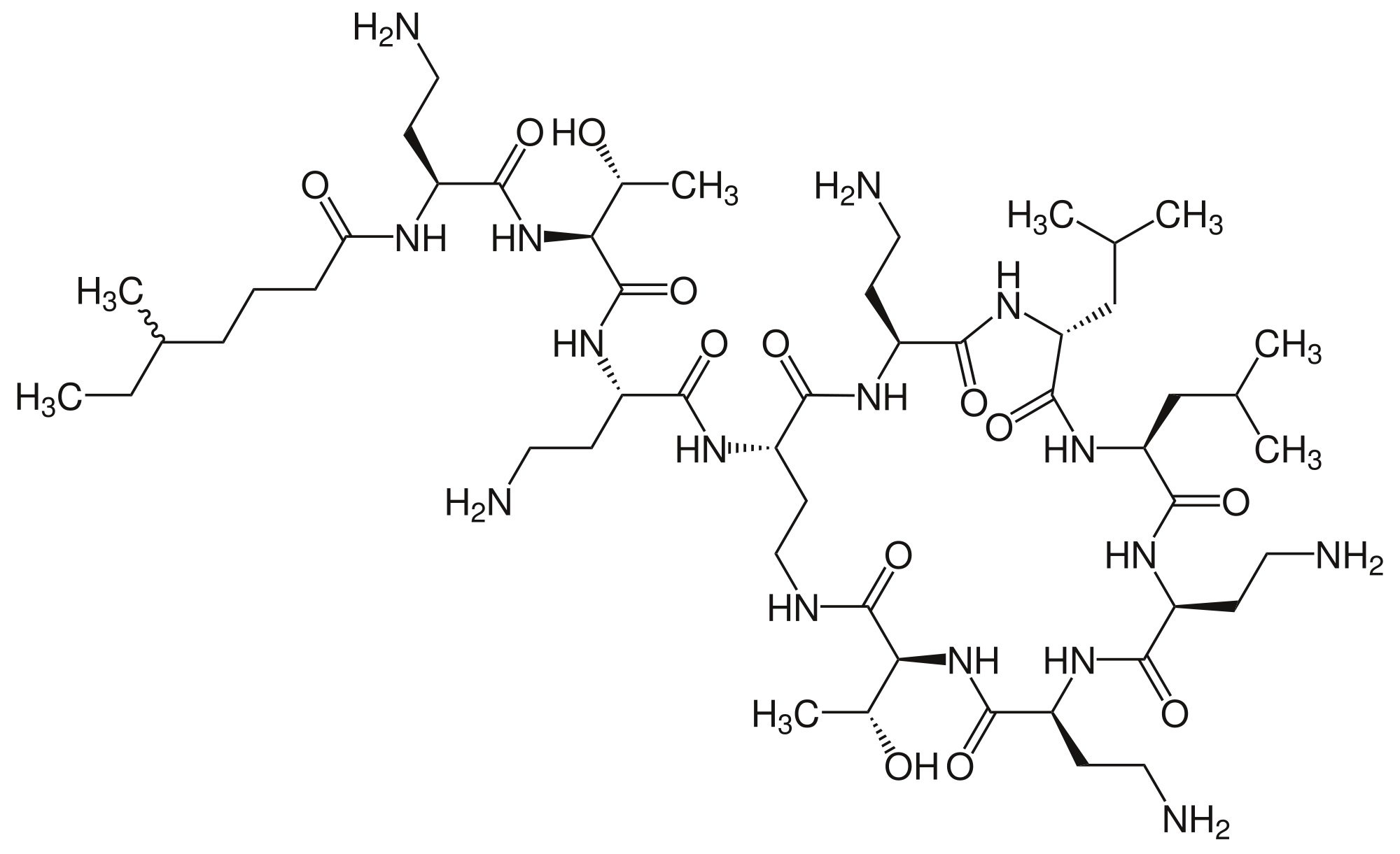
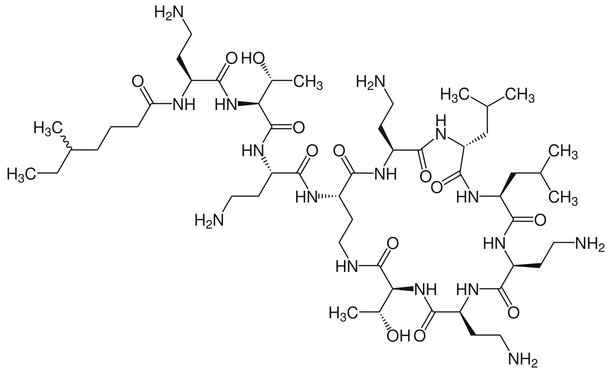
   Хімічна структура  

Торгова назва   Торгова назва     

Торгові назви є орієнтовними, а склад допоміжних речовин може бути різним залежно від країни та виробника

Alficetin Аргентина
Colimicina Італія
Colimycin Данія, Норвегія, Туреччина
Colimycine Люксембург, Марокко, Нідерланди, Туніс, Франція
Colismet Перу
Colistimethate Великобританія, Канада, Сполучені Штати Америки, Франція
Colistin Австрія, Греція, Німеччина, Нова Зеландія, Польща
Colistina Аргентина, Португалія, Чилі
Colistineb Бельгія
Colistyn Аргентина
Colixin Словенія
Colomycin Ірландія, Великобританія, Канада, Малайзія, Сполучені Штати Америки
Dicupal Чилі
Elistin Перу
Kolisod Туреччина
Nolisin
Promixin Ірландія, Великобританія, Німеччина, Норвегія
Toliscrin Аргентина
Шлях введення   Шлях введення :Colistin mesilate sodium     
Маршрут
Внутрішньовенне
Внутрішньовенне вливання
Безперервна інфузія
Внутрішньом'язове

  Mentions Légales