Ultimo aggiornamento :
27/04/2026
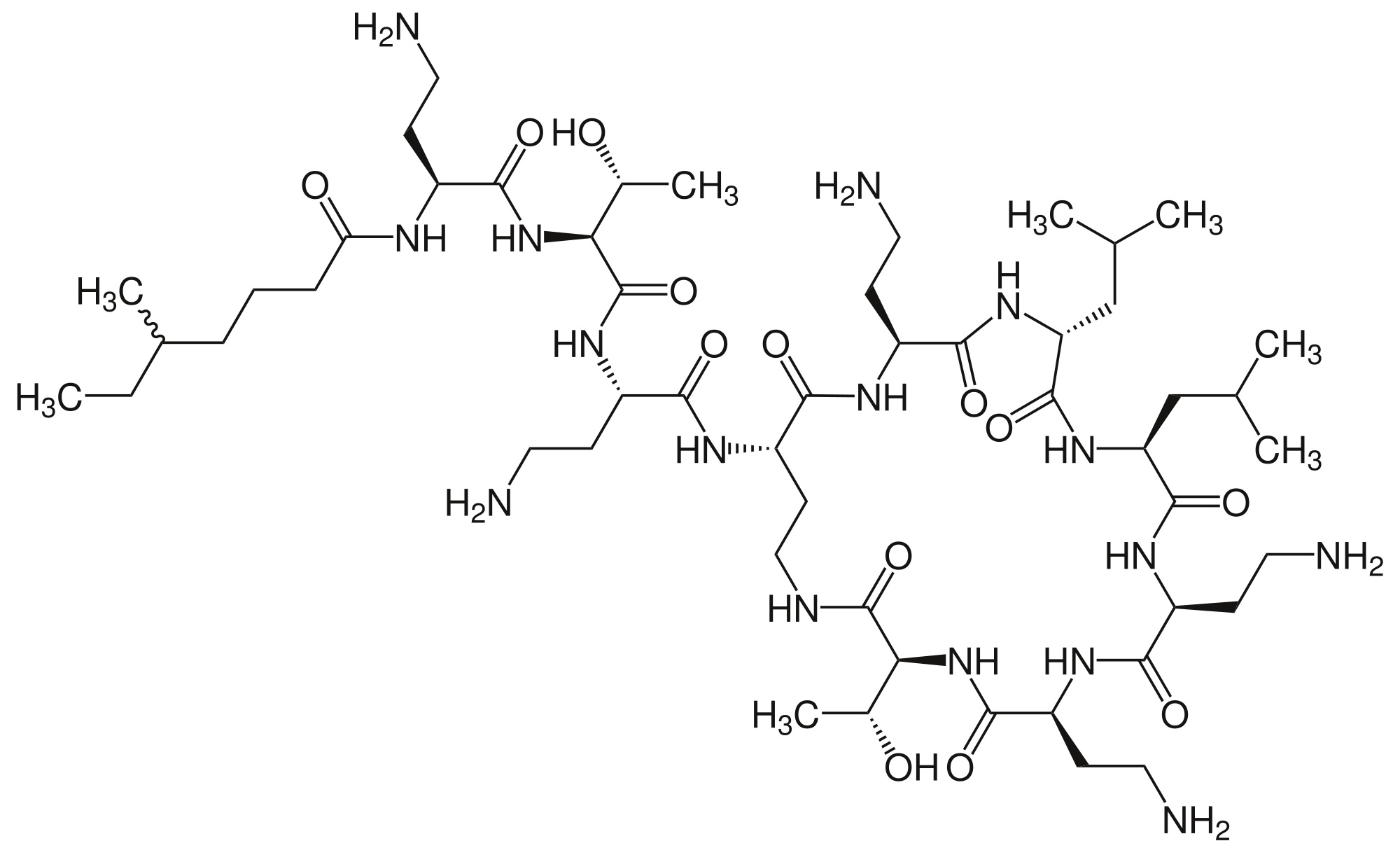
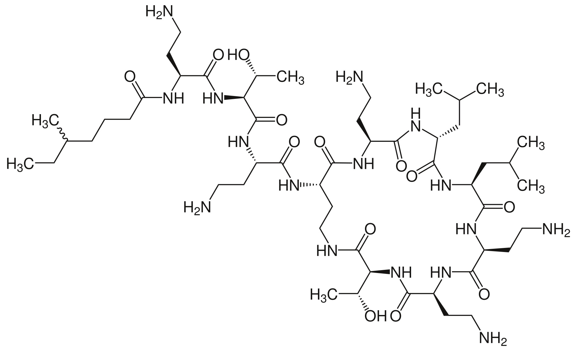
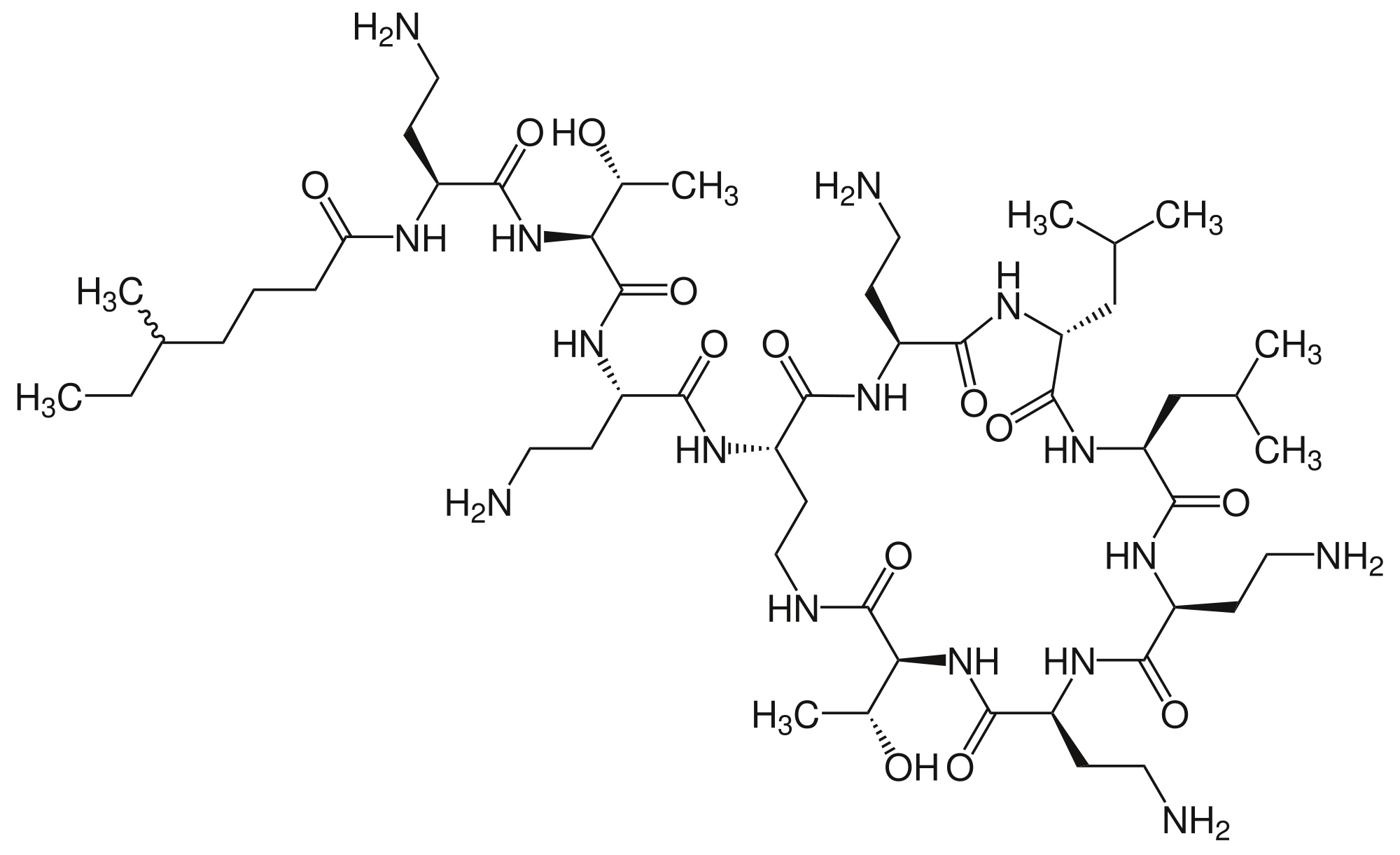
Antibiotico   Colistin mesilate sodium  
Iniezione
Aerosol
Stabilità in soluzione Stabilità in miscela Fattori che influenzano la stabilità Compatibilità metodo di iniezione Bibliografia pdf
   Struttura chimica  

Nome commerciale   Nome commerciale     

Trade names are indicative and excipients composition can be different depending on the country and manufacturers

Alficetin Argentina
Colimicina Italia
Colimycin Danimarca, Norvegia, Turchia
Colimycine Francia, Lussemburgo, Marocco, Paesi Bassi, Tunisia
Colismet Perù
Colistimethate Canada, Francia, Gran Bretagna, Stati Uniti d’America
Colistin Austria, Germania, Grecia, nuova Zelanda, Polonia
Colistina Argentina, Chile, Portogallo
Colistineb Belgio
Colistyn Argentina
Colixin Slovenia
Colomycin Canada, Gran Bretagna, Irlanda, Malaysia, Stati Uniti d’America
Dicupal Chile
Elistin Perù
Kolisod Turchia
Nolisin
Promixin Germania, Gran Bretagna, Irlanda, Norvegia
Toliscrin Argentina
metodo di iniezione   metodo di iniezione :Colistin mesilate sodium     
Voie
Endovenosa
Flebo endovenosa
Flebo continua
Intramuscolare

  Mentions Légales