Siste oppdatering :
27/04/2026
Antibiotika   Colistin mesilate sodium  
Injeksjon
Aerosol
Oppløsningsstabilitet Stabilitet i blandinger Faktorer som påvirker stabiliteten Kompatibilitet Administrasjonsmåte Referanser pdf
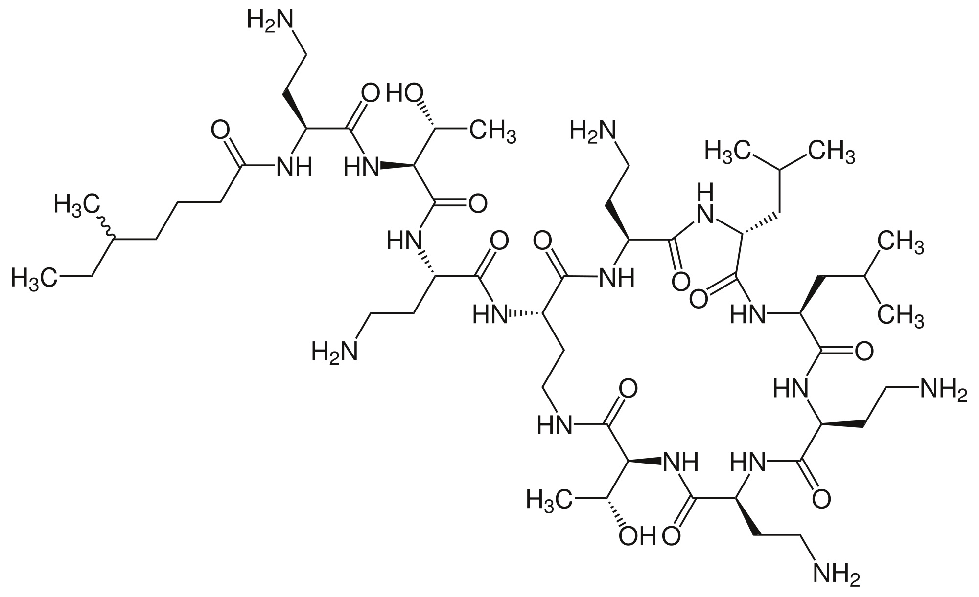
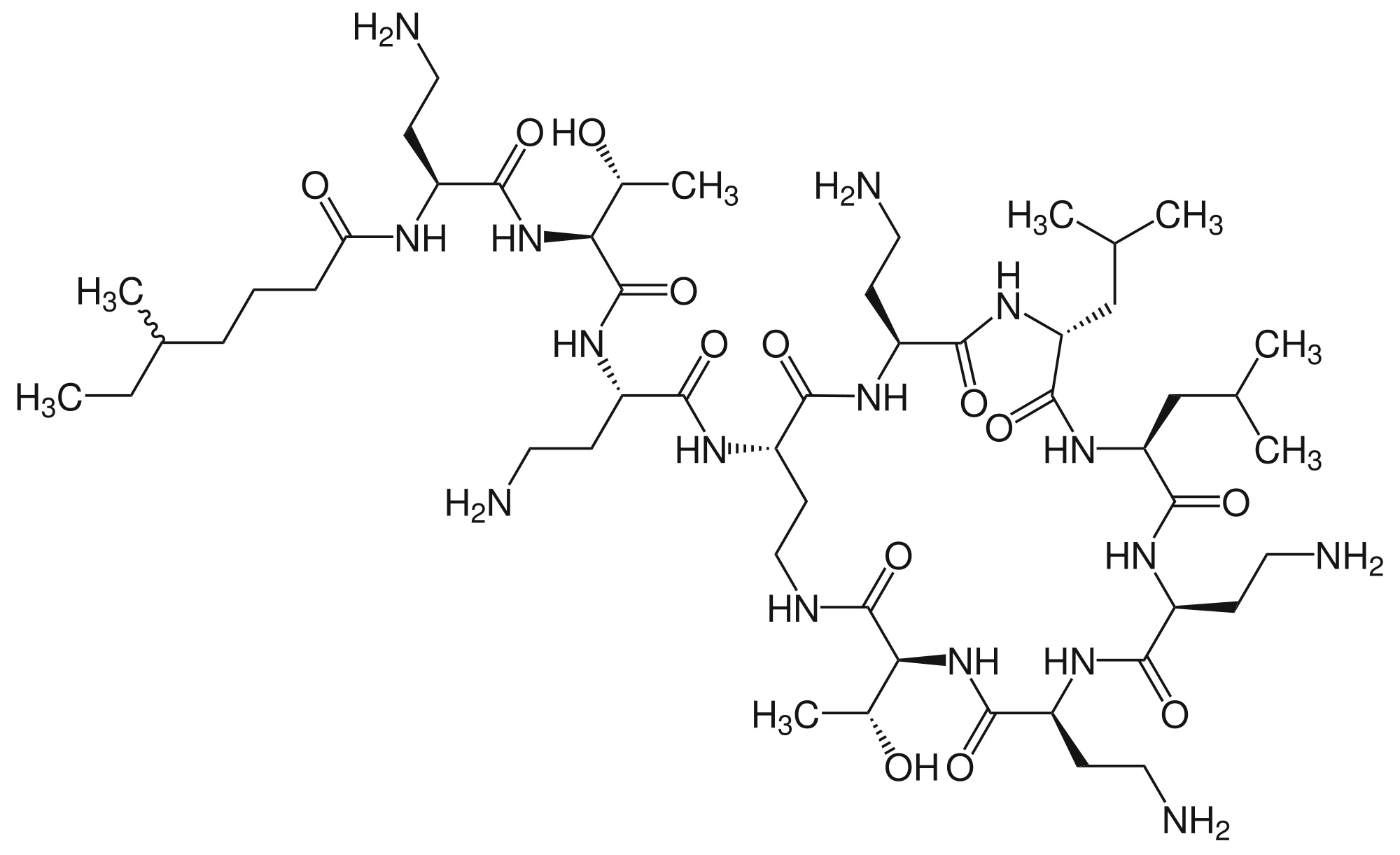
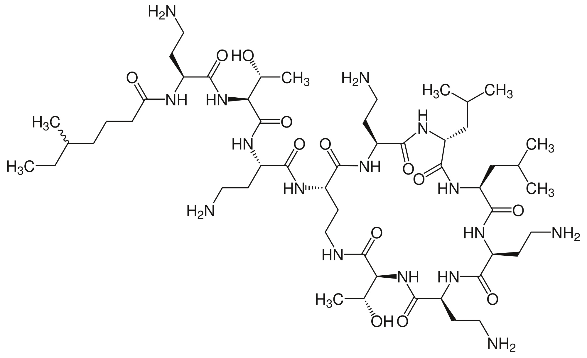
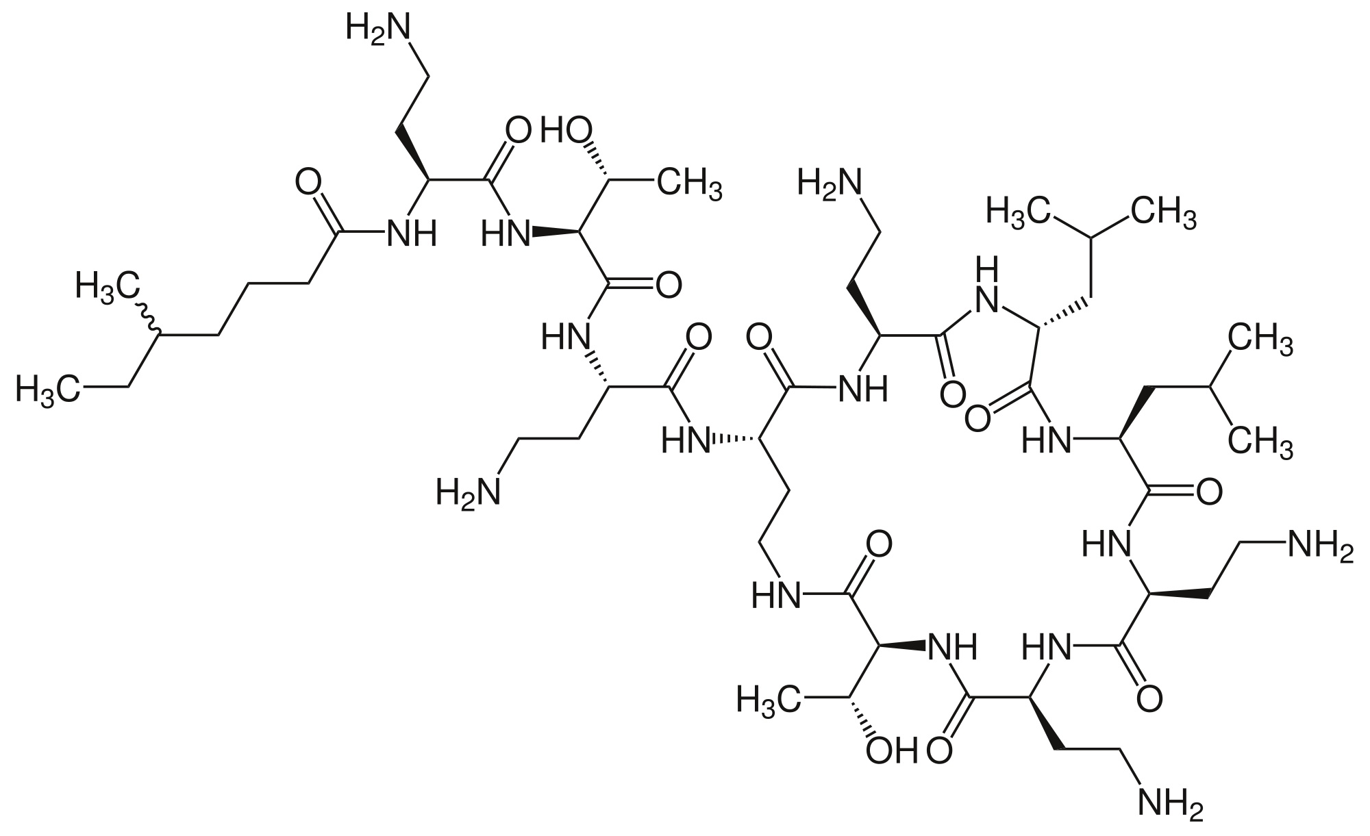
   Kjemisk struktur  

Handelsnavn   Handelsnavn     

Handelsnavn er veiledende og sammensetning av hjelpestoffer kan være forskjellig avhengig av land og produsent

Alficetin Argentina
Colimicina Italia
Colimycin Danmark, Norge, Tyrkia
Colimycine Frankrike, Luxembourg, Marokko, Nederland, Tunisia
Colismet Peru
Colistimethate Canada, Frankrike, Storbritannia, USA
Colistin Hellas, New Zealand, Polen, Tyskland, Østerrike
Colistina Argentina, Chile, Portugal
Colistineb Belgia
Colistyn Argentina
Colixin Slovenia
Colomycin Canada, Irland, Malaysia, Storbritannia, USA
Dicupal Chile
Elistin Peru
Kolisod Tyrkia
Nolisin
Promixin Irland, Norge, Storbritannia, Tyskland
Toliscrin Argentina
Administrasjonsmåte   Administrasjonsmåte :Colistin mesilate sodium     
Voie
Intravenøs
Intravenøs infusjon
Kontinuerlig infusjon
Intramuskulær

  Mentions Légales