Τελευταία ενημέρωση :
27/01/2026
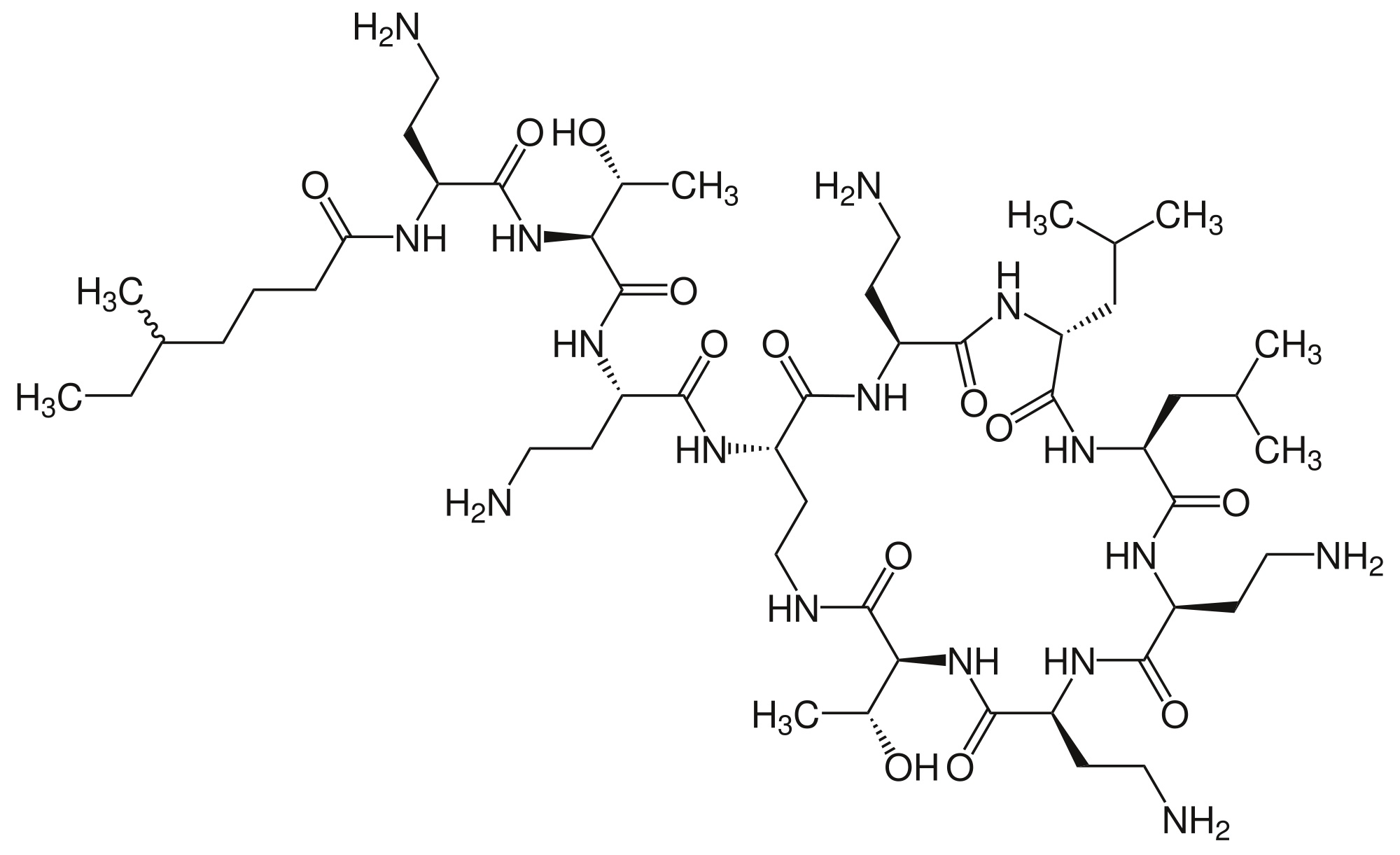
Αντιβιοτικό   Colistin mesilate sodium  
Ενέσιμο
Αεροζόλ
Σταθερότητα διαλυμάτων Σταθερότητα σε μίγματα Παράγοντας που επηρεάζει τη σταθερότητα Συμβατότητες Τρόπος χορήγησης Βιβλιογραφία pdf
   χημική δομή  

Εμπορική ονομασία   Εμπορική ονομασία     

Οι εμπορικές ονομασίες είναι ενδεικτικές και η σύνθεση των εκδόχων μπορεί να διαφέρει ανάλογα με τη χώρα και τα εργαστήρια

Alficetin Αργεντινή
Colimicina Ιταλία
Colimycin Δανία, Νορβηγία, Τουρκία
Colimycine Γαλλία, Λουξεμβούργο, Μαρόκο, Ολλανδία, Τυνησία
Colismet Περού
Colistimethate Γαλλία, Η.Π.Α., Καναδάς, Μεγάλη Βρετανία
Colistin Αυστρία, Γερμανία, Ελλάδα, νέα Ζηλανδία, Πολωνία
Colistina Αργεντινή, Πορτογαλία, Χιλή
Colistineb Βέλγιο
Colistyn Αργεντινή
Colixin Σλοβενία
Colomycin Η.Π.Α., Ιρλανδία, Καναδάς, Μαλαισία, Μεγάλη Βρετανία
Dicupal Χιλή
Elistin Περού
Kolisod Τουρκία
Nolisin
Promixin Γερμανία, Ιρλανδία, Μεγάλη Βρετανία, Νορβηγία
Toliscrin Αργεντινή
Τρόπος χορήγησης   Τρόπος χορήγησης :Colistin mesilate sodium     
Voie
Ενδοφλέβια
Ενδοφλέβια έκχυση
Συνεχής έκχυση υγρού
Ενδομυϊκή

  Mentions Légales