Laatste update :
27/04/2026
Antibioticum   Colistin mesilate sodium  
injecteerbaar geneesmiddel
Aerosol
Stabiliteit in oplossing Stabiliteit in mengsels Factoren die de stabiliteit beïnvloeden Verenigbaarheden Toedieningswijze Literatuur pdf
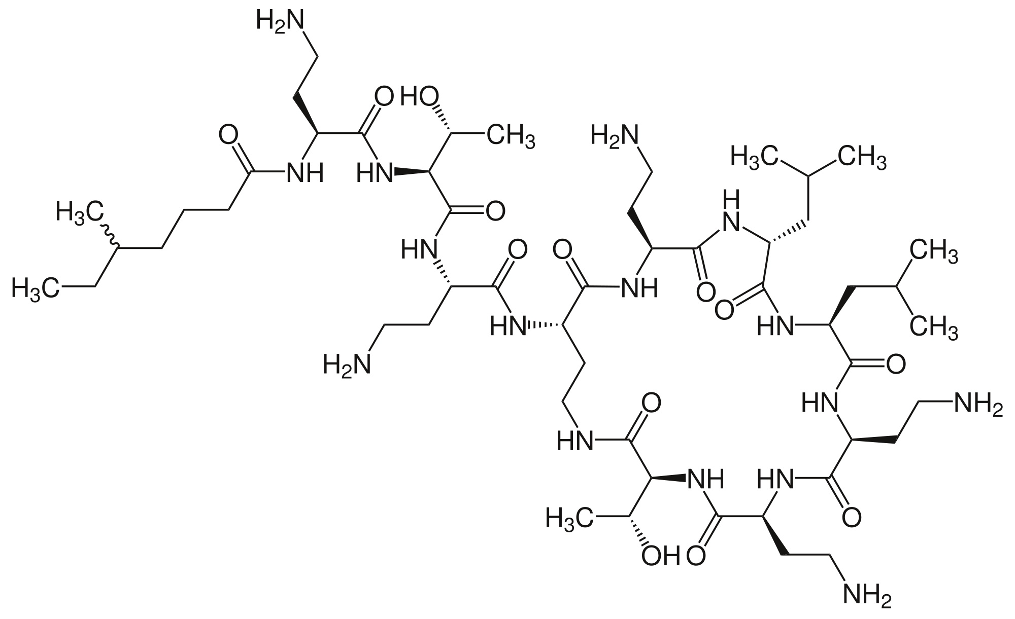
   Molecuulstructuur  

Merknamen in verschillende landen   Merknamen in verschillende landen     

Handelsnamen zijn slechts een indicatie; de samenstelling van hulpstoffen kan per land variëren afhankelijk van de fabrikant

Alficetin Argentinië
Colimicina Italië
Colimycin Denemarken, Noorwegen, Turkije
Colimycine Frankrijk, Luxemburg, Marokko, Nederland, Tunisie
Colismet Peru
Colistimethate Canada, Frankrijk, Groot Britannië, USA
Colistin Duitsland, Griekenland, nieuw Zeeland, Oostenrijk, Polen
Colistina Argentinië, Chili, Portugal
Colistineb België
Colistyn Argentinië
Colixin Slovenië
Colomycin Canada, Groot Britannië, Ierland, Maleisië, USA
Dicupal Chili
Elistin Peru
Kolisod Turkije
Nolisin
Promixin Duitsland, Groot Britannië, Ierland, Noorwegen
Toliscrin Argentinië
Toedieningswijze   Toedieningswijze :Colistin mesilate sodium     
Voie
Intraveneus
Intraveneus infuus
Continu infuus
Intramusculair

  Mentions Légales