Última actualización :
27/04/2026
Antibiótico   Colistin mesilate sodium  
Inyectables
Aerosol
Estabilidad en solucion Estabilidad en mezcla Factores que influyen sobre la estabilidad Compatibilidades método de inyección Bibliografía pdf
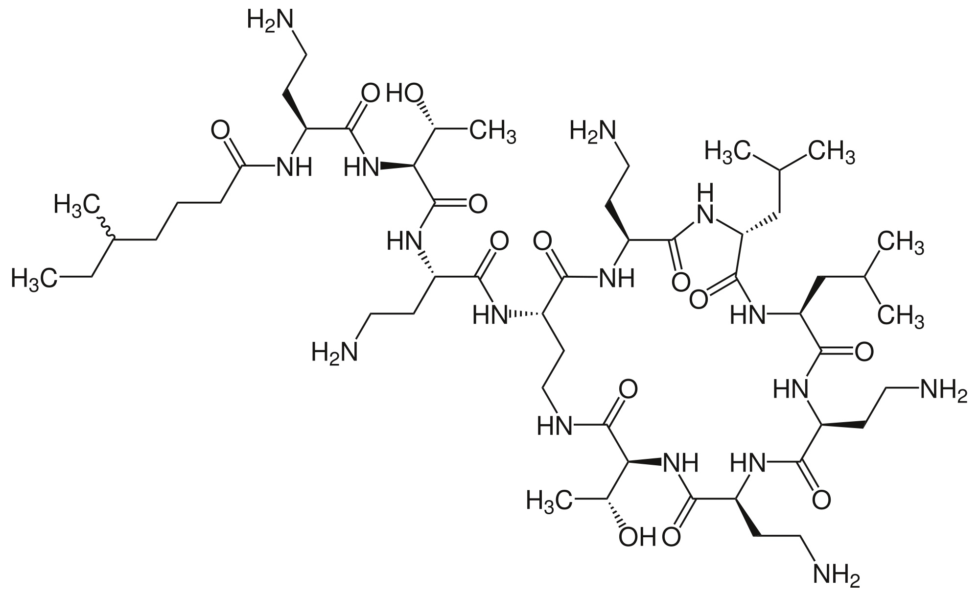
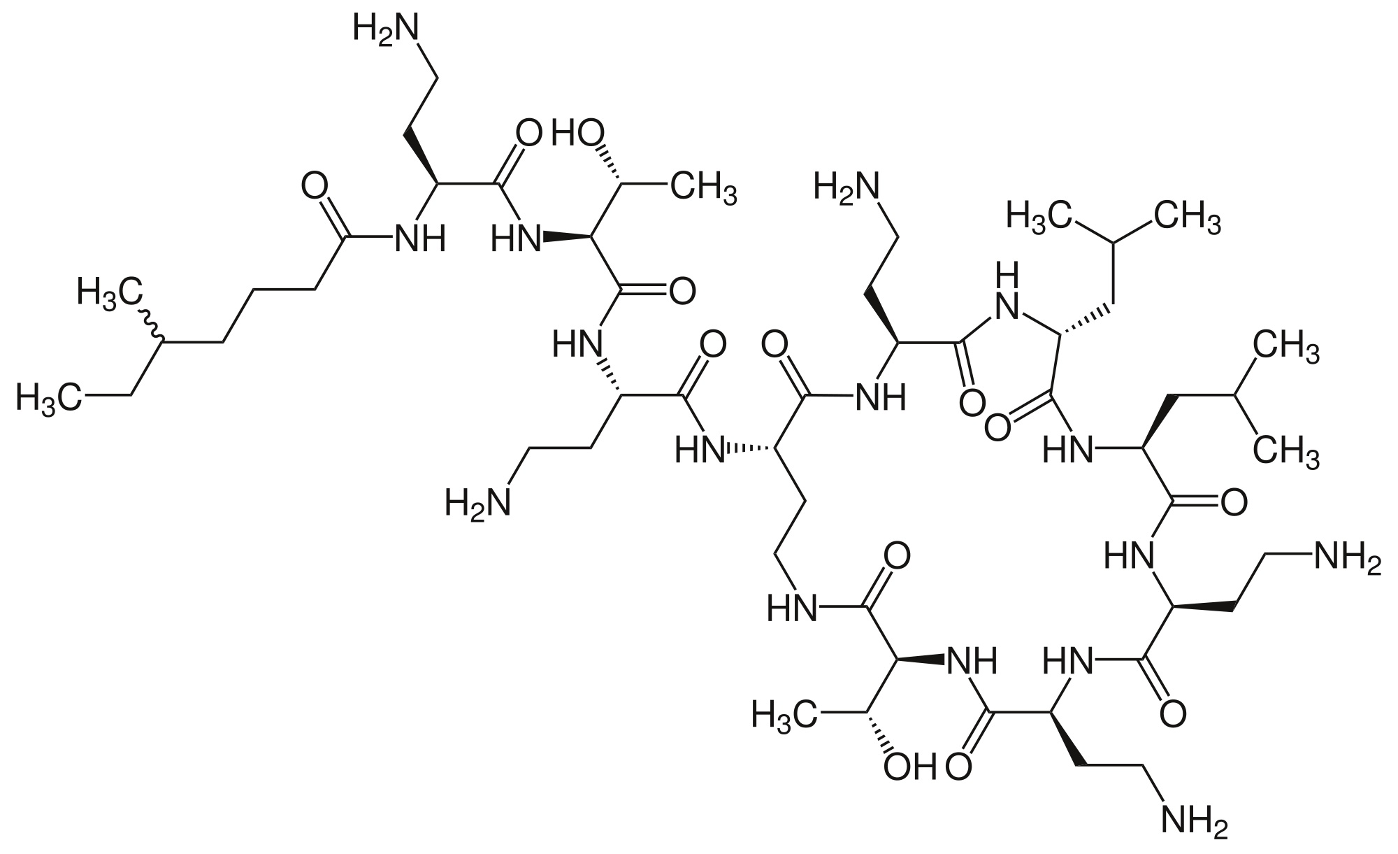
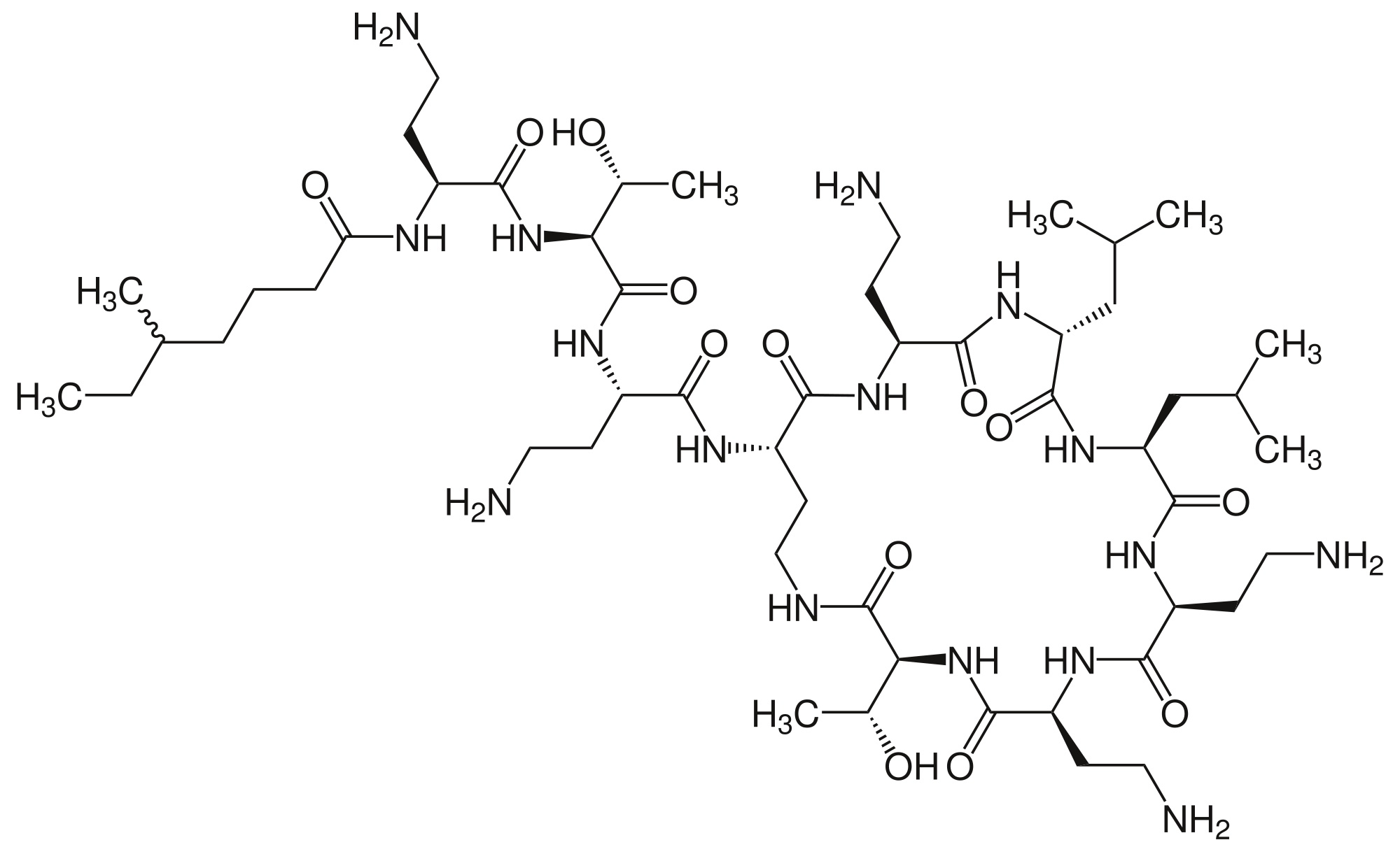
   Estructura química  

Nombre comercial   Nombre comercial     

Los nombres comerciales son orientativos y los excipientes de la formulación pueden ser distintos dependiendo del país y del laboratorio fabricante.

Alficetin Argentina
Colimicina Italia
Colimycin Dinamarca, Noruega, Turquía
Colimycine Francia, Luxemburgo, Marruecos, Países Bajos, Túnez
Colismet Marruecos
Colistimethate Canadá, Estados Unidos de América, Francia, Gran Bretaña
Colistin Alemania, Austria, Grecia, Nueva Zelanda, Polonia
Colistina Argentina, Chile, Portugal
Colistineb Bélgica
Colistyn Argentina
Colixin Eslovenia
Colomycin Canadá, Estados Unidos de América, Gran Bretaña, Irlanda, Malasia
Dicupal Chile
Elistin Marruecos
Kolisod Turquía
Nolisin
Promixin Alemania, Gran Bretaña, Irlanda, Noruega
Toliscrin Argentina
método de inyección   método de inyección :Colistin mesilate sodium     
Voie
Intravenoso
Perfusión intravenosa
Perfusión continua
Intramuscular

  Mentions Légales