zadnja posodobitev :
27/04/2026
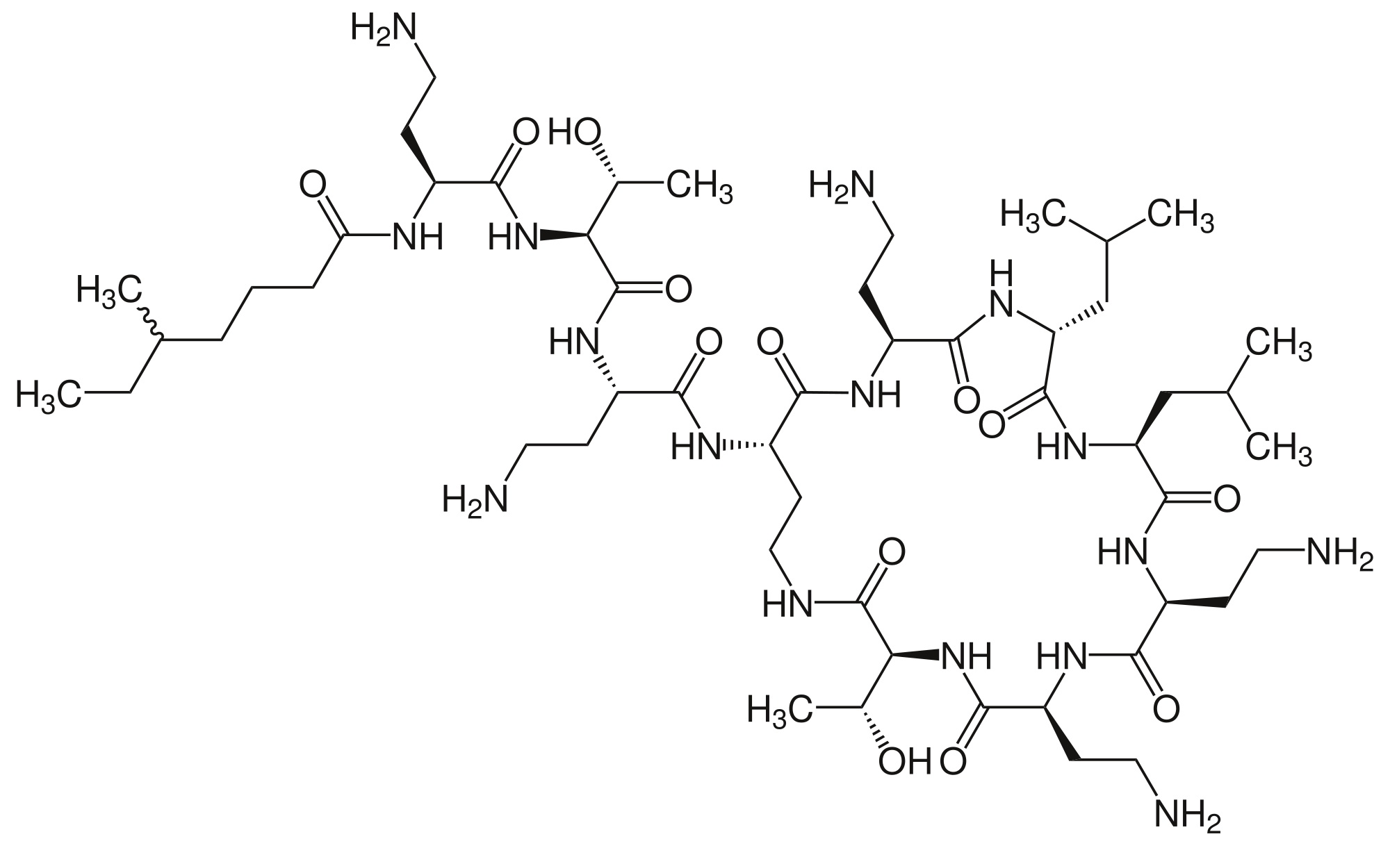
Antibiotik   Colistin mesilate sodium  
Brizgalka
Aerosol
Stabilnost raztopine Stabilnost mešanice Faktorji, ki vplivajo na stabilnost Kompatibilnost način aplikacije Viri pdf
   Kemična formula  

Lastniško ime   Lastniško ime     

Sestava pomožnih snovi je med paralelami lahko različna

Alficetin Argentina
Colimicina Italija
Colimycin Danska, Norveška, Turčija
Colimycine Francija, Luksemburg, Maroko, Nizozemska, Tunizija
Colismet Peru
Colistimethate Francija, Kanada, Velika Britanija, Združene države Amerike
Colistin Avstrija, Grčija, Nemčija, nova Zelandija, Poljska
Colistina Argentina, Čile, Portugalska
Colistineb Belgija
Colistyn Argentina
Colixin Slovenija
Colomycin Irska, Kanada, Malezija, Velika Britanija, Združene države Amerike
Dicupal Čile
Elistin Peru
Kolisod Turčija
Nolisin
Promixin Irska, Nemčija, Norveška, Velika Britanija
Toliscrin Argentina
način aplikacije   način aplikacije :Colistin mesilate sodium     
Voie
Intravensko
Intravenska infuzija
Neprekinjena infuzija
Intramuskularno

  Mentions Légales