Viimeisin päivitys :
27/04/2026
Antibiootit   Colistin mesilate sodium  
Injektioneste
Aerosoli
Stabilius liuoksessa Stabilius seoksissa Tekijät, jotka vaikuttavat stabiliuteen Yhteensopivuus Antotapa Viitteet pdf
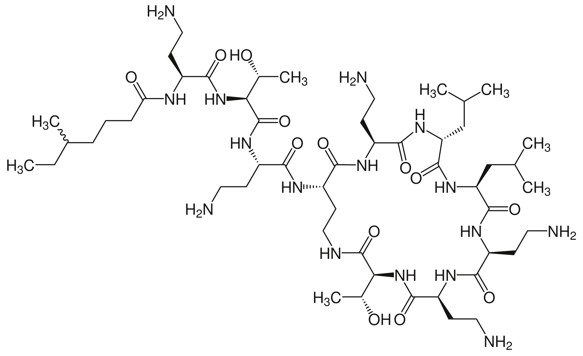
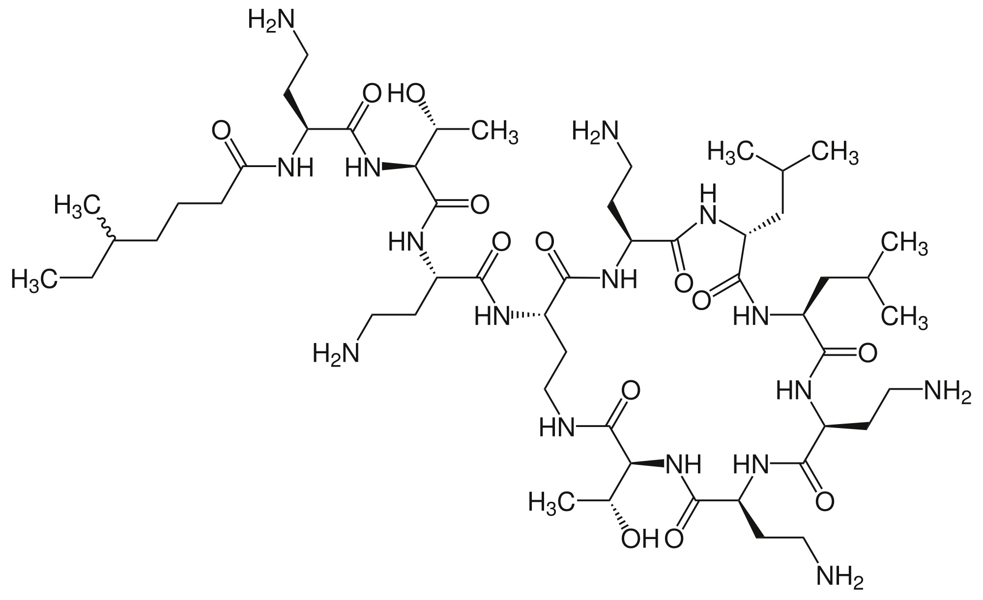
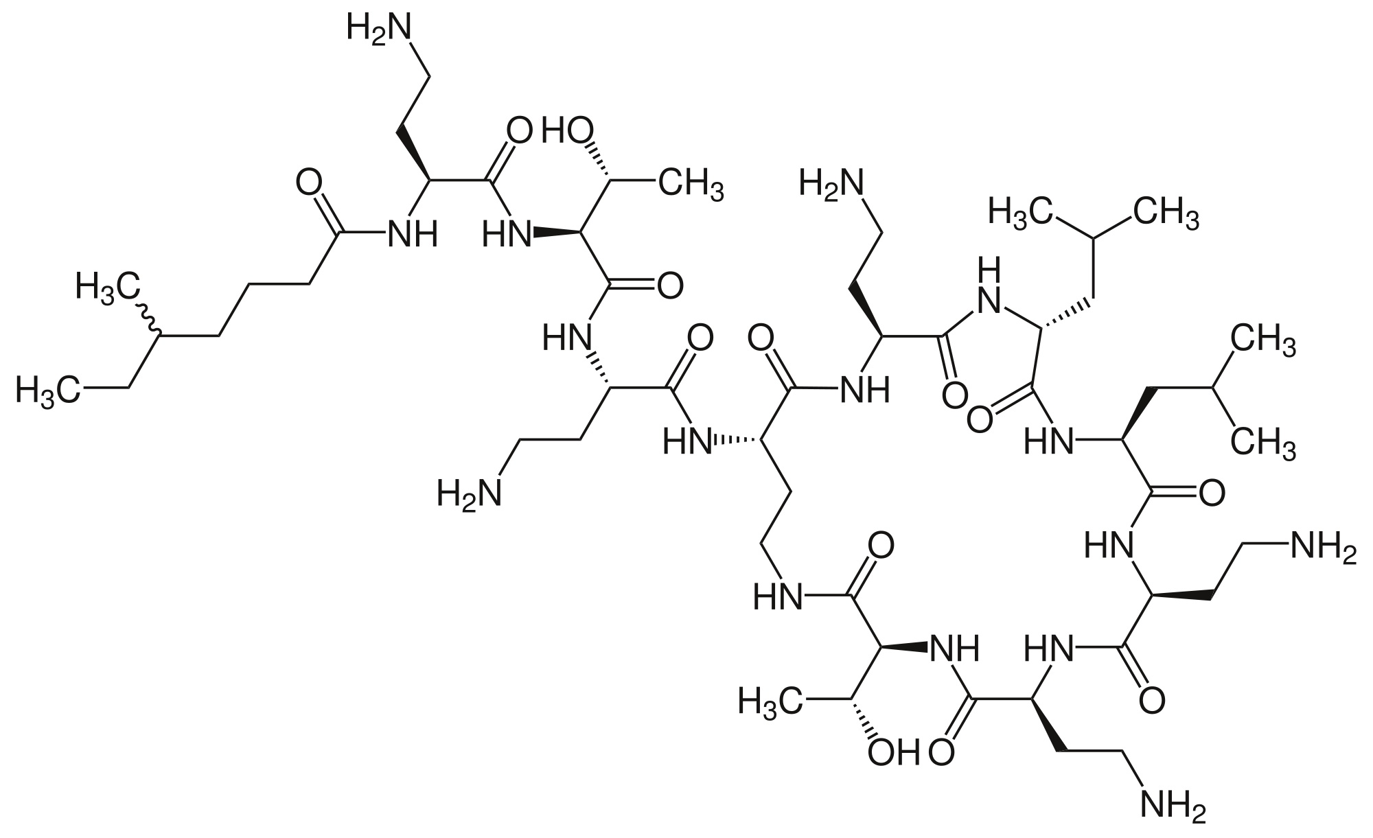
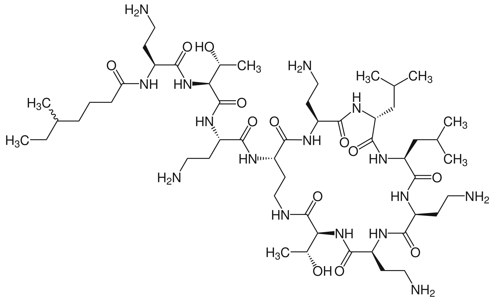
   Kemiallinen rakenne  

Kauppanimi   Kauppanimi     

Trade names are indicative and excipients composition can be different depending on the country and manufacturers

Alficetin Argentiina
Colimicina Italia
Colimycin Norja, Tanska, Turkki
Colimycine Hollanti, Luxemburg, Marokko, Ranska, Tunisia
Colismet Marokko
Colistimethate Iso-Britannia, Kanada, Ranska, Yhdysvallat
Colistin Itävalta, Kreikka, New Zealand, Puola, Saksa
Colistina Argentiina, Chile, Portugali
Colistineb Belgia
Colistyn Argentiina
Colixin Slovenia
Colomycin Irlanti, Iso-Britannia, Kanada, Malesia, Yhdysvallat
Dicupal Chile
Elistin Marokko
Kolisod Turkki
Nolisin
Promixin Irlanti, Iso-Britannia, Norja, Saksa
Toliscrin Argentiina
Antotapa   Antotapa :Colistin mesilate sodium     
Voie
Intravenoosi
Intravenoosi-infuusio
Intravenoosi-infuusio, jatkuva
Intramuskulaarinen

  Mentions Légales