Cập nhật lần cuối :
27/01/2026
Thuốc chống nấm   Anidulafungin  
Dạng tiêm
Tính ổn định của các dung dịch Độ ổn định khi trộn lẫn Những yếu tố ảnh hưởng đến độ ổn định Khả năng tương thích Đường dùng Tài liệu tham khảo Pdf
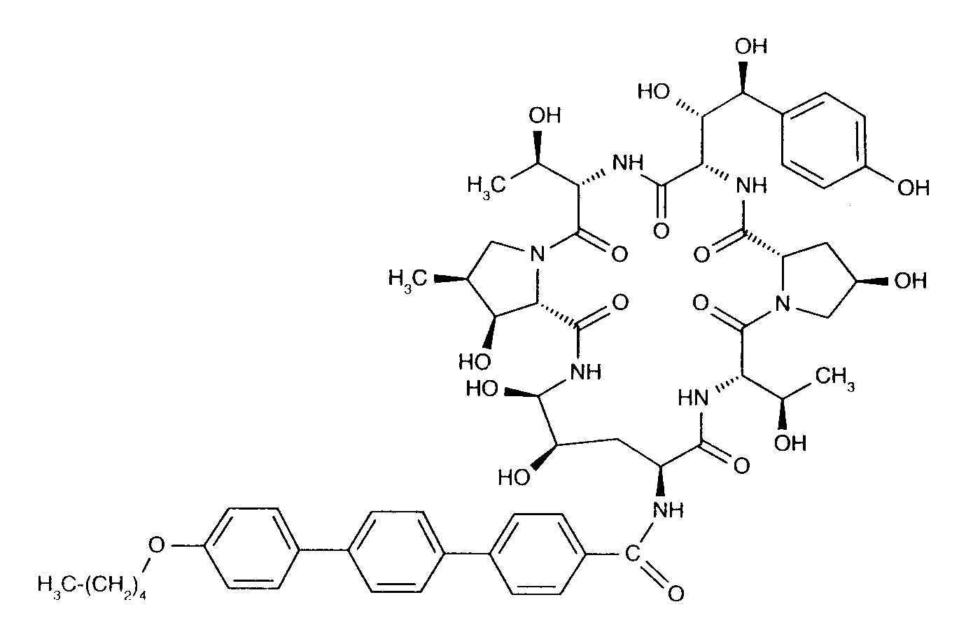
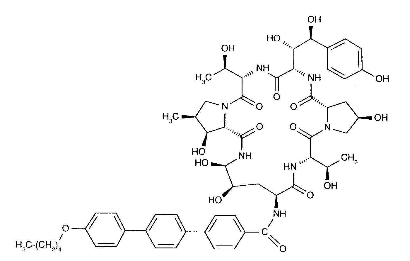
   Cấu trúc hóa học  

Tên thương mại   Tên thương mại     

Các tên thương mại được cung cấp và thành phần tá dược có thể khác nhau giữa các quốc gia và các hãng dược

Anidulafungin Anh, Bỉ, Đức
Anidulafungina Brazil, Tây Ban Nha
Ecalta Anh, Argentina, Ba Lan, Bỉ, Brazil, Canada, Chile, Colombia, Hà Lan, Hoa Kỳ, Hungary, Hy Lạp, Luxembourg, Malaysia, Na Uy, Peru, Phần Lan, Pháp, Romania, Tây Ban Nha, Thổ Nhĩ Kỳ, Thụy Sỹ, Thụy Điển, Venezuela, Ý, Đan Mạch, Đức
Equalta Mexico
Eraxis Canada, Hoa Kỳ, Úc
Fuzig Mexico
Độ ổn định khi trộn lẫn   Dạng tiêm   Độ ổn định khi trộn lẫn : Anidulafungin     
Không có dữ liệu

  Mentions Légales