Останнє оновлення :
27/01/2026
Протигрибковий   Anidulafungin  
ін'єкція
Стійкість в розчинах Стійкість сумішей Фактори, що впливають на стабільність Сумісність Шлях введення Список літератури pdf
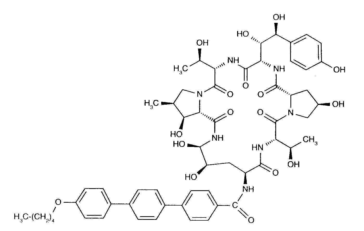
   Хімічна структура  

Торгова назва   Торгова назва     

Торгові назви є орієнтовними, а склад допоміжних речовин може бути різним залежно від країни та виробника

Anidulafungin Бельгія, Великобританія, Німеччина
Anidulafungina Іспанія, Бразилія
Ecalta Іспанія, Італія, Аргентина, Бельгія, Бразилія, Великобританія, Венесуела, Греція, Данія, Канада, Колумбія, Люксембург, Малайзія, Нідерланди, Німеччина, Норвегія, Перу, Польща, Румунія, Сполучені Штати Америки, Туреччина, Угорщина, Фінляндія, Франція, Чилі, Швейцарія, Швеція
Equalta Мексика
Eraxis Австралія, Канада, Сполучені Штати Америки
Fuzig Мексика
Стійкість сумішей   ін'єкція   Стійкість сумішей : Anidulafungin     
7 / 5 000 Résultats de traduction Немає даних

  Mentions Légales