Letztes “update” :
27/01/2026
Antifungoid   Anidulafungin  
Injektion
Stabilität der Lösung Gemengestabilität Stabilitätbeeinflussende Faktoren Kompatibilitäten Applikationsart Literaturverzeichnis pdf
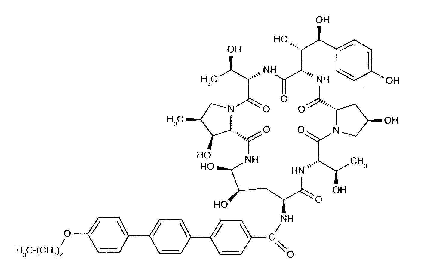
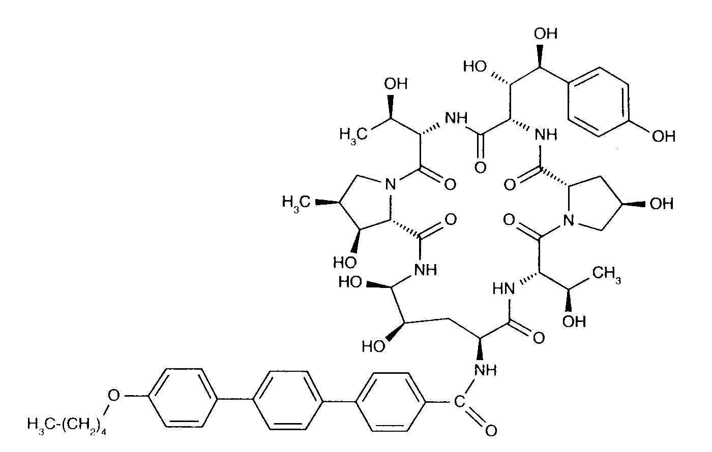
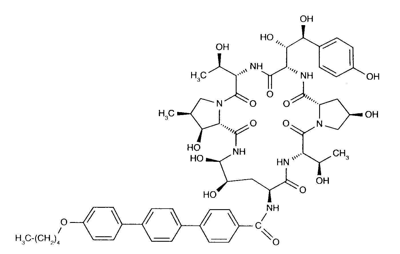
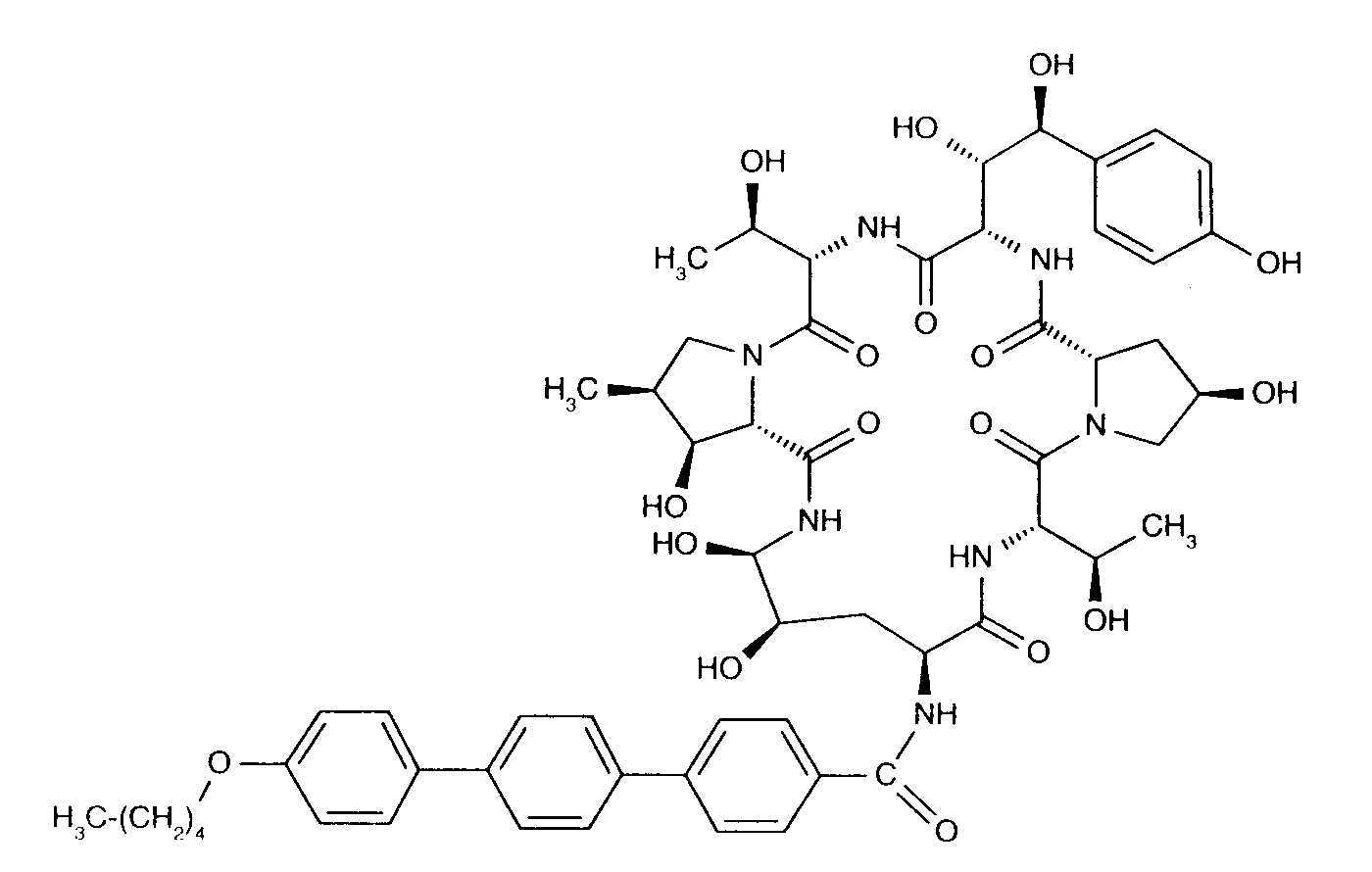
   Chemische Struktur  

Handelsmarke   Handelsmarke     

Handelsnamen sind als beispielhaft anzusehen. Sonstige Bestandteile können je nach Hersteller oder Land verschieden sein

Anidulafungin Belgien, Deutschland, Großbritannien
Anidulafungina Brasilien, Spanien
Ecalta Argentinien, Belgien, Brasilien, Chile, Dänemark, Deutschland, Finnland, Frankreich, Griechenland, Großbritannien, Italien, Kanada, Kolumbien, Luxemburg, Malaysia, Niederlande, Norwegen, Peru, Polen, Rumänien, Schweden, Schweiz, Spanien, Türkei, Ungarn, Venezuela, Vereinigte Staaten von Amerika
Equalta Mexiko
Eraxis Australien, Kanada, Vereinigte Staaten von Amerika
Fuzig Mexiko
Gemengestabilität   Injektion   Gemengestabilität : Anidulafungin     
Keine Daten

  Mentions Légales