Posledná aktualizácia :
27/01/2026
antimykotikum   Anidulafungin  
Injekcia
Stabilita roztokov Stabilita v zmesiach Faktory ovplyvňujúce stabilitu Kompatibility spôsob podania Odkazy na literatúru PDF
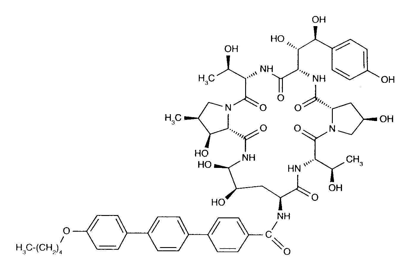
   Chemický vzorec  

Obchodný názov   Obchodný názov     

Obchodné názvy sú orientačné, a zloženie pomocných látok sa môže líšiť v závislosti od krajiny a výrobcu.

Anidulafungin Belgicko, Nemecko, Veľká Británia
Anidulafungina Brazília, Španielsko
Ecalta Argentína, Belgicko, Brazília, Čile, Dánsko, Fínsko, Francúzsko, Grécko, Holandsko, Kanada, Kolumbia, Luxembursko, Maďarsko, Malajzia, Nemecko, Nórsko, peru, Poľsko, Rumunsko, Španielsko, Spojené štáty Americké, Švajčiarsko, Švédsko, Taliansko, Turecko, Veľká Británia, Venezuela
Equalta Mexiko
Eraxis Austrália, Kanada, Spojené štáty Americké
Fuzig Mexiko
Stabilita v zmesiach   Injekcia   Stabilita v zmesiach : Anidulafungin     
žiadne údaje

  Mentions Légales