Τελευταία ενημέρωση :
27/01/2026
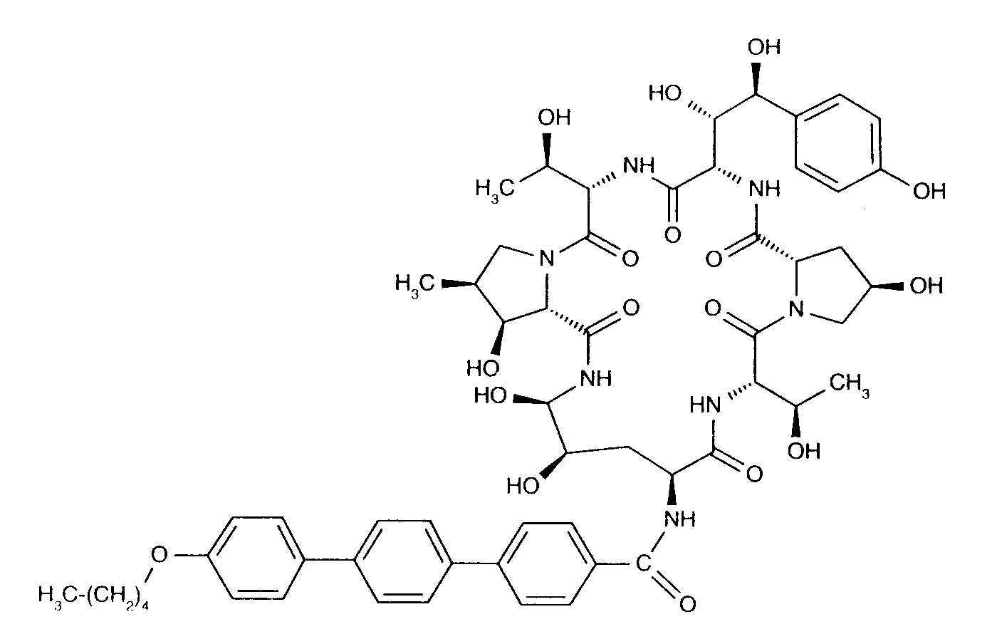
Αντιμυκητικό   Anidulafungin  
Ενέσιμο
Σταθερότητα διαλυμάτων Σταθερότητα σε μίγματα Παράγοντας που επηρεάζει τη σταθερότητα Συμβατότητες Τρόπος χορήγησης Βιβλιογραφία pdf
   χημική δομή  

Εμπορική ονομασία   Εμπορική ονομασία     

Οι εμπορικές ονομασίες είναι ενδεικτικές και η σύνθεση των εκδόχων μπορεί να διαφέρει ανάλογα με τη χώρα και τα εργαστήρια

Anidulafungin Βέλγιο, Γερμανία, Μεγάλη Βρετανία
Anidulafungina Βραζιλία, Ισπανία
Ecalta Αργεντινή, Βέλγιο, Βενεζουέλα, Βραζιλία, Γαλλία, Γερμανία, Δανία, Ελβετία, Ελλάδα, Η.Π.Α., Ισπανία, Ιταλία, Καναδάς, Κολομβία, Λουξεμβούργο, Μαλαισία, Μεγάλη Βρετανία, Νορβηγία, Ολλανδία, Ουγγαρία, Περού, Πολωνία, Ρουμανία, Σουηδία, Τουρκία, Φινλανδία, Χιλή
Equalta Μεξικό
Eraxis Αυστραλία, Η.Π.Α., Καναδάς
Fuzig Μεξικό
Σταθερότητα σε μίγματα   Ενέσιμο   Σταθερότητα σε μίγματα : Anidulafungin     
Δεν υπάρχουν πληροφορίες

  Mentions Légales