Ostatnia aktualizacja :
27/01/2026
Lek przeciwgrzybiczny   Anidulafungin  
Injekcje
Trwałość roztworów Trwałość w mieszaninie Czynnik wpływający na trwałość Zgodność Sposób podania Bibliografia pdf
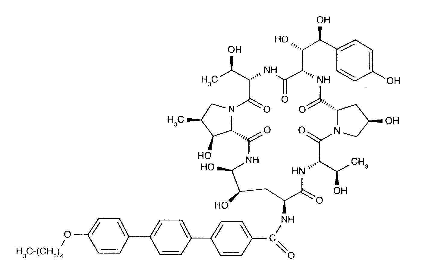
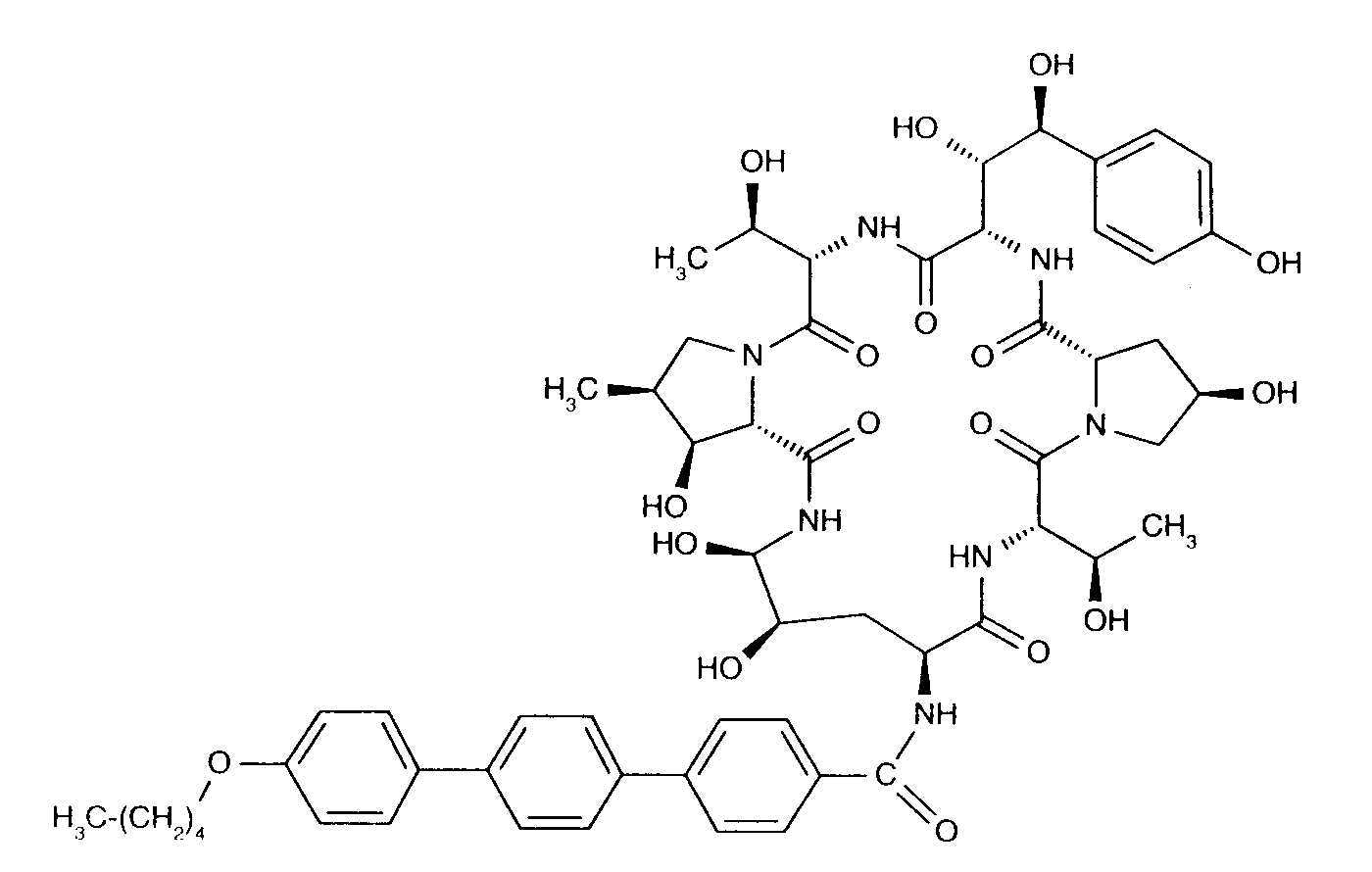
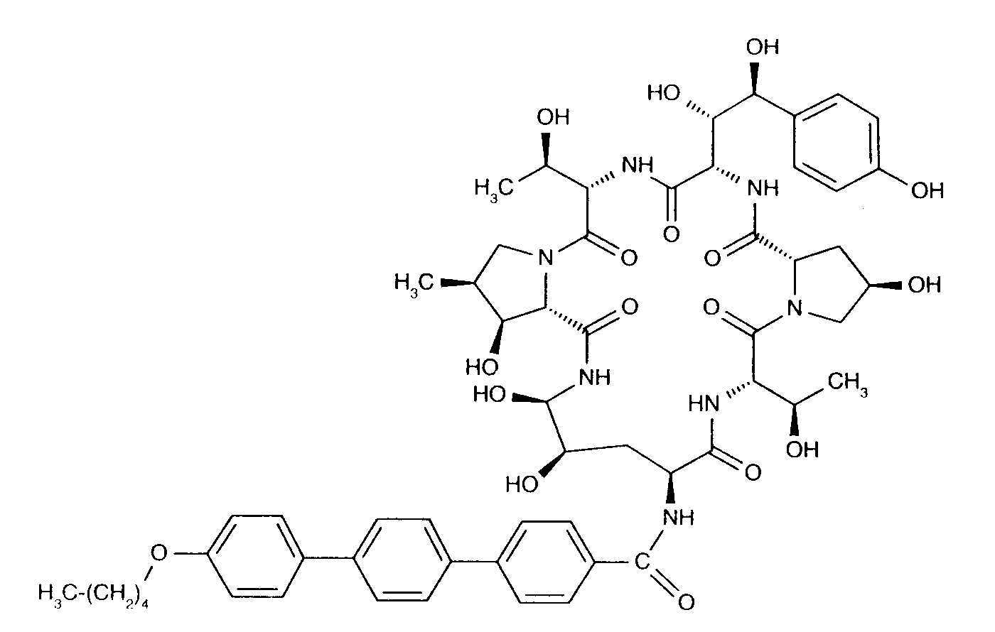
   Struktura chemiczna  

Nazwa handlowa   Nazwa handlowa     

Trade names are indicative and excipients composition can be different depending on the country and manufacturers

Anidulafungin Belgia, Niemcy, Wielka Brytania
Anidulafungina Brazylia, Hiszpania
Ecalta Argentyna, Belgia, Brazylia, Chile, Dania, Finlandia, Francja , Grecja, Hiszpania, Holandia, Kanada, KolumbiaKolumbia, Luksemburg, Malezja, Niemcy, Norwegia, Peru, Polska, Rumunia, Stany Zjednoczone Ameryki, Szwajcaria, Szwecja, Turcja, Węgry, Wenezuela, Wielka Brytania, Włochy
Equalta Meksyk
Eraxis Australia, Kanada, Stany Zjednoczone Ameryki
Fuzig Meksyk
Trwałość w mieszaninie   Injekcje   Trwałość w mieszaninie : Anidulafungin     
Brak danych

  Mentions Légales