Siste oppdatering :
27/01/2026
Fungicid   Anidulafungin  
Injeksjon
Oppløsningsstabilitet Stabilitet i blandinger Faktorer som påvirker stabiliteten Kompatibilitet Administrasjonsmåte Referanser pdf
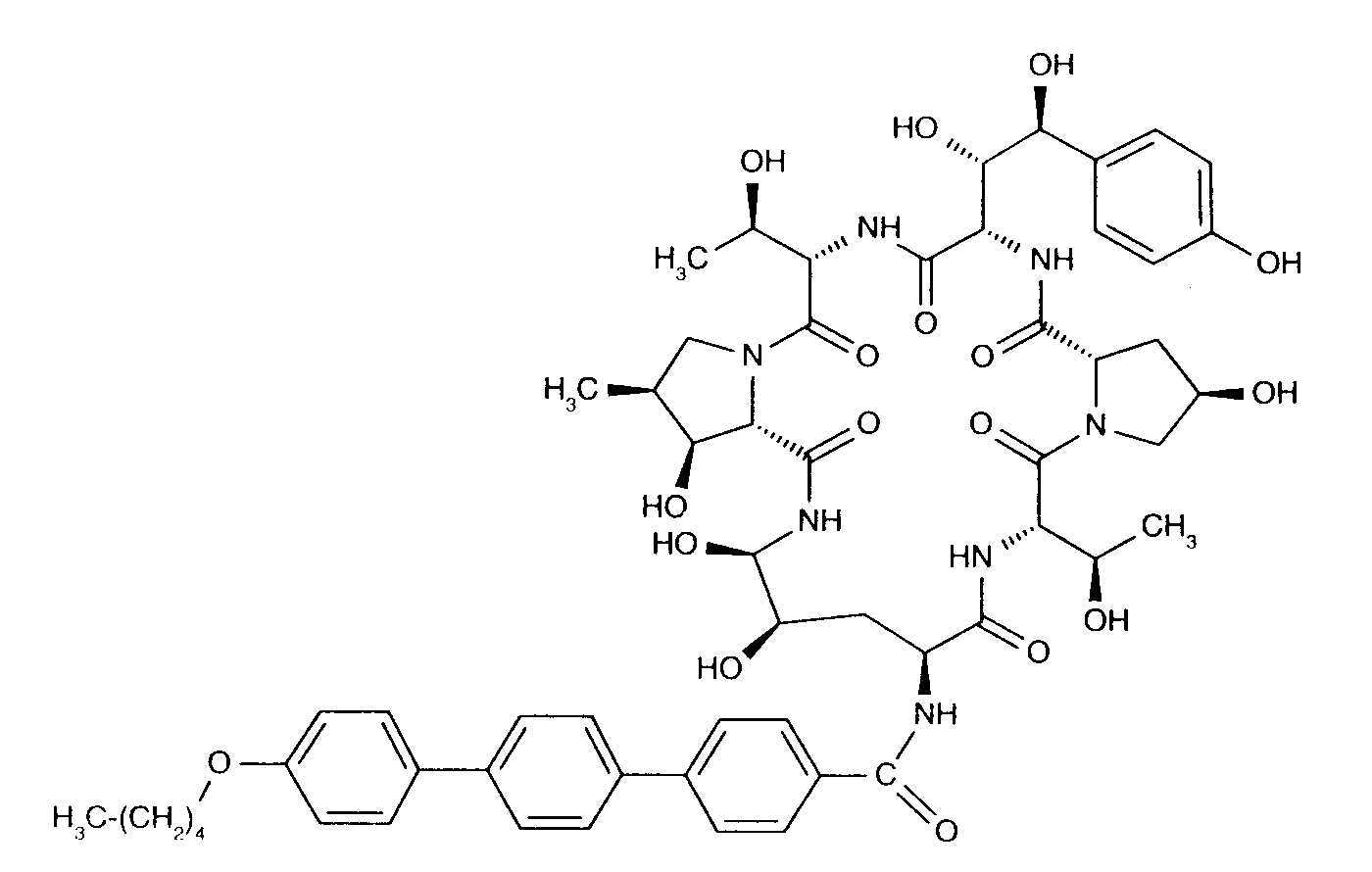
   Kjemisk struktur  

Handelsnavn   Handelsnavn     

Handelsnavn er veiledende og sammensetning av hjelpestoffer kan være forskjellig avhengig av land og produsent

Anidulafungin Belgia, Storbritannia, Tyskland
Anidulafungina Brasil, Spania
Ecalta Argentina, Belgia, Brasil, Canada, Chile, Colombia, Danmark, Finland, Frankrike, Hellas, Italia, Luxembourg, Malaysia, Nederland, Norge, Peru, Polen, Romania, Spania, Storbritannia, Sveits, Sverige, Tyrkia, Tyskland, Ungarn, USA, Venezuela
Equalta Mexico
Eraxis Australia, Canada, USA
Fuzig Mexico
Stabilitet i blandinger   Injeksjon   Stabilitet i blandinger : Anidulafungin     
Ingen opplysninger

  Mentions Légales