Последнее обновление :
27/01/2026
Противогрибковое средство   Anidulafungin  
Инъекция
Стабильность растворов Стабильность смесей Факторы, которые влияют на стабильность Совместимость Способы введения Библиография pdf
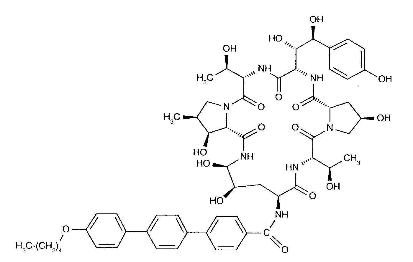
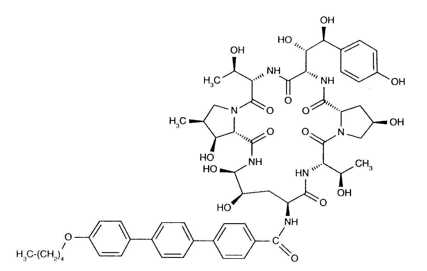
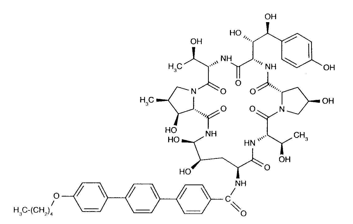
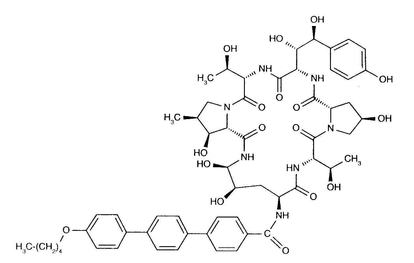
   Химическая структура  

Товарное название   Товарное название     

Trade names are indicative and excipients composition can be different depending on the country and manufacturers

Anidulafungin Бельгия, Великобритания, Германия
Anidulafungina Бразилия, Испания
Ecalta Аргентина, Бельгия, Бразилия, Великобритания, Венгрия, Венесуэла, Германия, Голландия, Греция, Дания, Испания, Италия, Канада, Колумбия, Люксембург, Малайзия, Норвегия, Перу, Польша, Румыния, Соединённые Штаты Америки, Турция, Финляндия, Франция, чили, Швейцария, Швеция
Equalta Мексика
Eraxis Австралия, Канада, Соединённые Штаты Америки
Fuzig Мексика

Факторы, которые влияют на стабильность   Инъекция   Факторы, которые влияют на стабильность : Anidulafungin        
Ссылки
Растворитель NaHCO3 Стимулирует Деградация 1982
Температура -20°C Стимулирует Осадок 3567

  Mentions Légales