zadnja posodobitev :
27/01/2026
Antimikotik   Anidulafungin  
Brizgalka
Stabilnost raztopine Stabilnost mešanice Faktorji, ki vplivajo na stabilnost Kompatibilnost način aplikacije Viri pdf
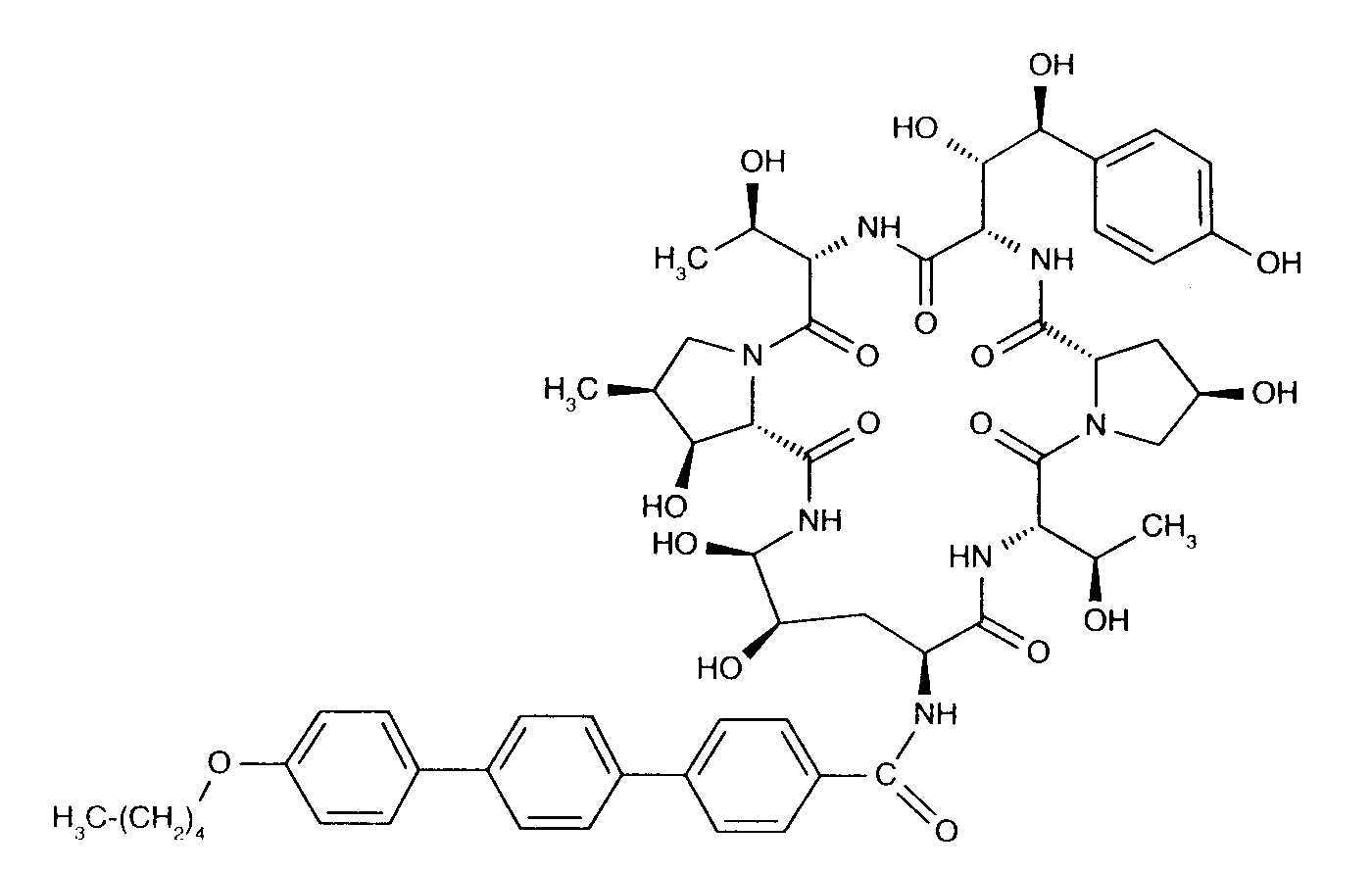
   Kemična formula  

Lastniško ime   Lastniško ime     

Sestava pomožnih snovi je med paralelami lahko različna

Anidulafungin Belgija, Nemčija, Velika Britanija
Anidulafungina Brazilija, Španija
Ecalta Argentina, Belgija, Brazilija, Čile, Danska, Finska, Francija, Grčija, Italija, Kanada, Kolumbija, Luksemburg, Madžarska, Malezija, Nemčija, Nizozemska, Norveška, Peru, Poljska, Romunija, Španija, Švedska, Švica, Turčija, Velika Britanija, Venezuela, Združene države Amerike
Equalta Mehika
Eraxis Avstralija, Kanada, Združene države Amerike
Fuzig Mehika

Faktorji, ki vplivajo na stabilnost   Brizgalka   Faktorji, ki vplivajo na stabilnost : Anidulafungin        
Viri
Topilo NaHCO3 Inducirati Degradacija 1982
Temperatura -20°C Inducirati Sedimentacija 3567

  Mentions Légales