Last update :
27/01/2026
Antifungal   Anidulafungin  
injection
Stability in solutions Stability of mixtures Factors which affect stability Compatibility Route of administration References pdf
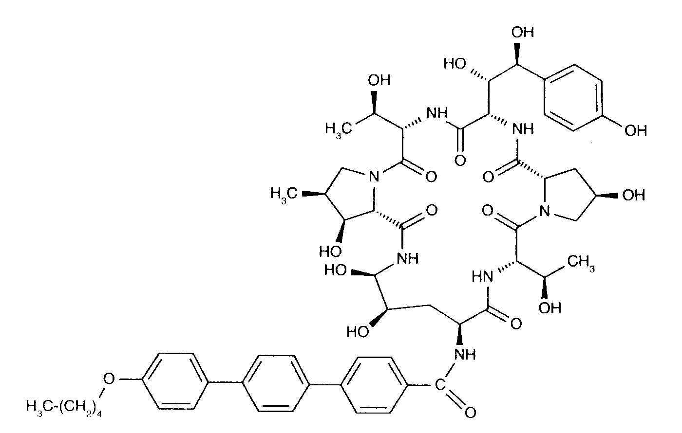
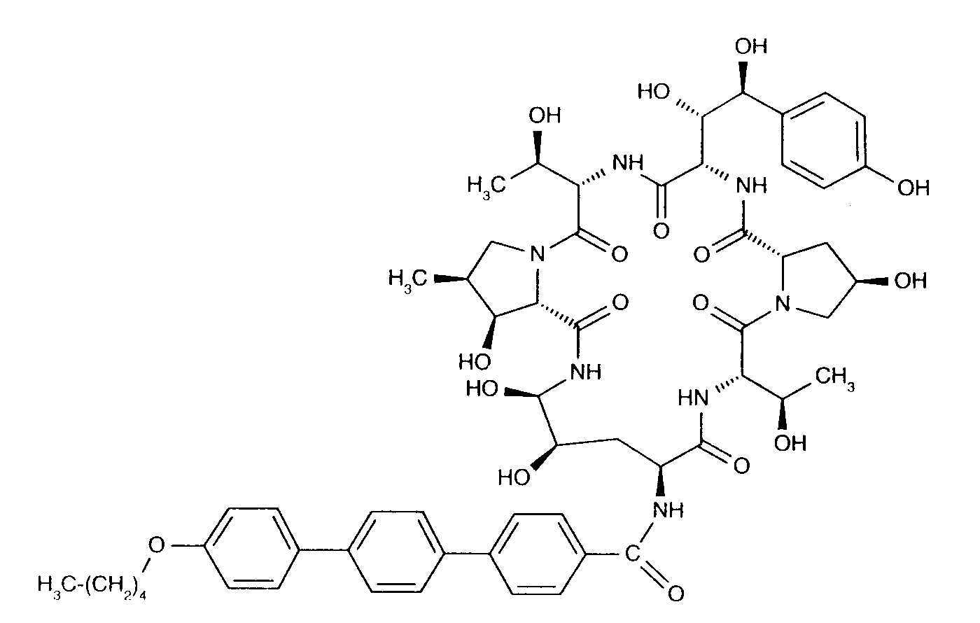
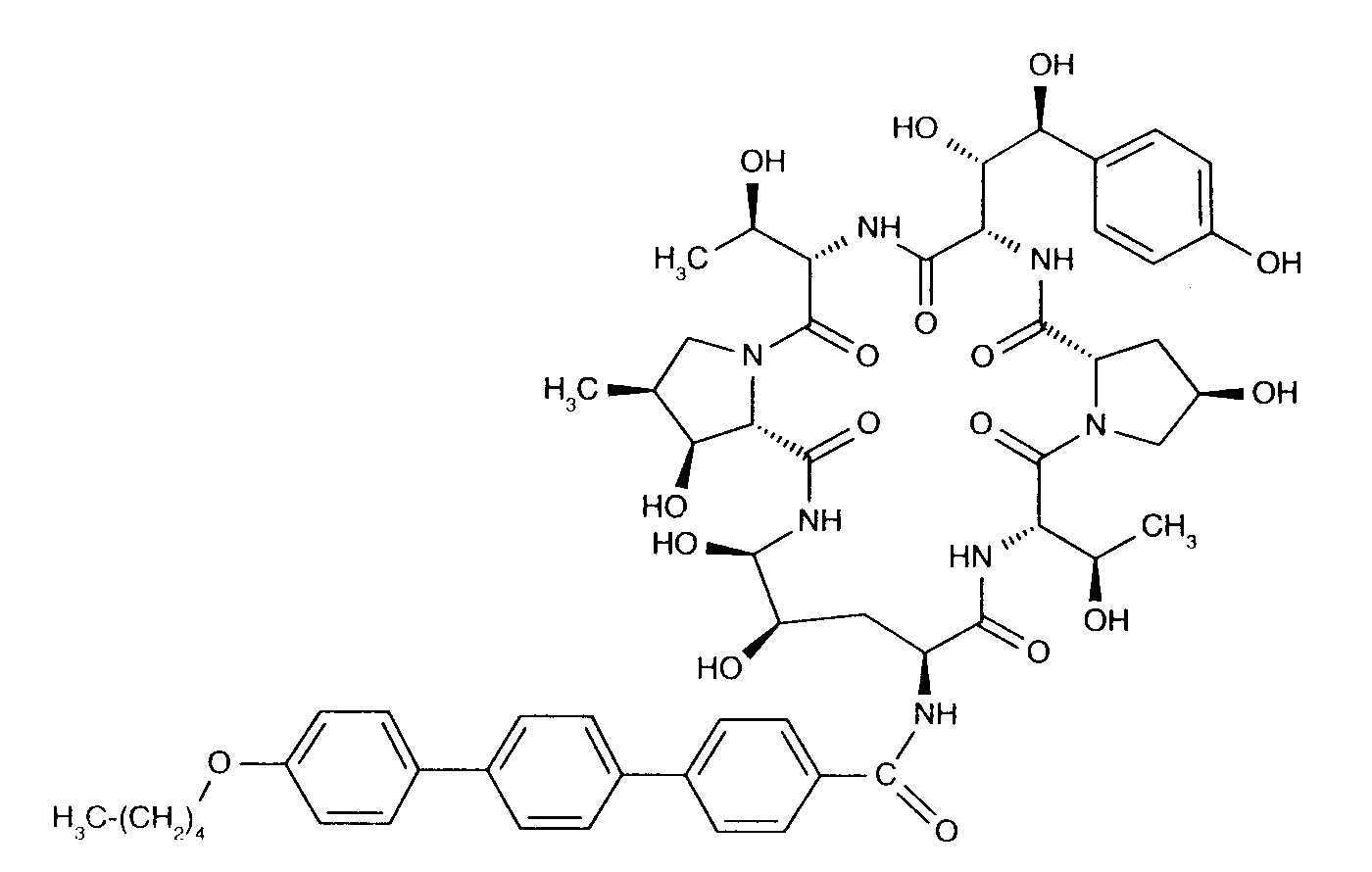
   Chemical structure  

Tradename   Tradename     

Trade names are indicative and excipients composition can be different depending on the country and manufacturers

Anidulafungin Belgium, Germany, Great Britain
Anidulafungina Brazil, Spain
Ecalta Argentina, Belgium, Brazil, Canada, Chile, Colombia, Denmark, Finland, France, Germany, Great Britain, Greece, Hungary, Italy, Luxembourg, Malaysia, Netherlands, Norway, Peru, Poland, Romania, Spain, Sweden, Switzerland, Turkey, United States of America, Venezuela
Equalta Mexico
Eraxis Australia, Canada, United States of America
Fuzig Mexico

Factors which affect stability   injection   Factors which affect stability : Anidulafungin        
References
Solvent NaHCO3 Induces Degradation 1982
Temperature -20°C Induces Precipitation 3567

  Mentions Légales