Останнє оновлення :
27/01/2026
Протигрибковий   Anidulafungin  
ін'єкція
Стійкість в розчинах Стійкість сумішей Фактори, що впливають на стабільність Сумісність Шлях введення Список літератури pdf
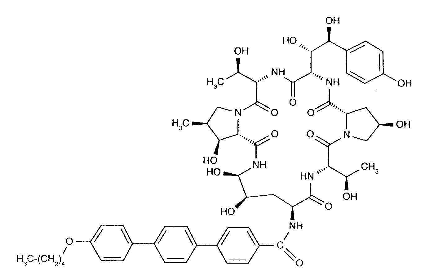
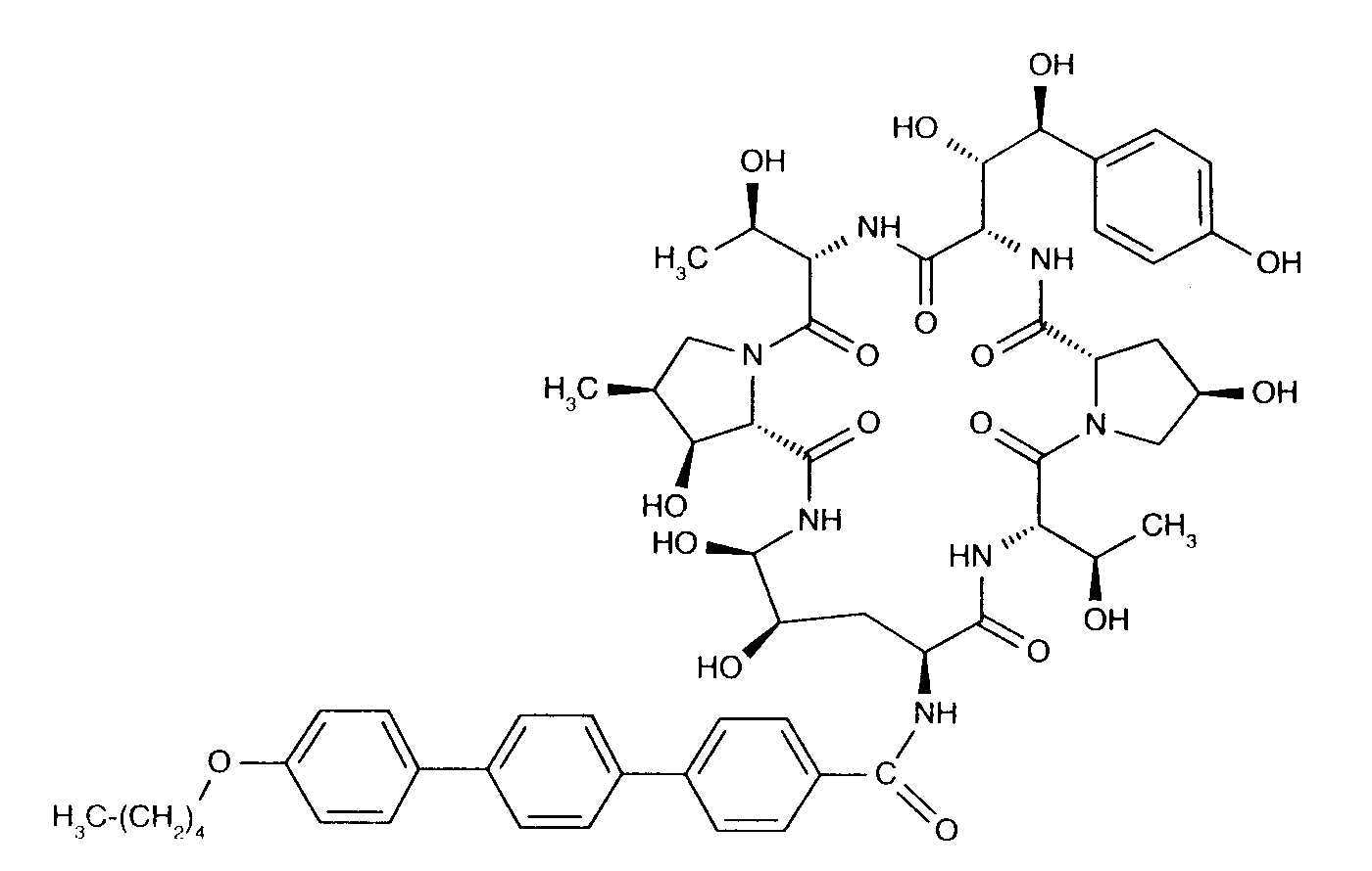
   Хімічна структура  

Торгова назва   Торгова назва     

Торгові назви є орієнтовними, а склад допоміжних речовин може бути різним залежно від країни та виробника

Anidulafungin Бельгія, Великобританія, Німеччина
Anidulafungina Іспанія, Бразилія
Ecalta Іспанія, Італія, Аргентина, Бельгія, Бразилія, Великобританія, Венесуела, Греція, Данія, Канада, Колумбія, Люксембург, Малайзія, Нідерланди, Німеччина, Норвегія, Перу, Польща, Румунія, Сполучені Штати Америки, Туреччина, Угорщина, Фінляндія, Франція, Чилі, Швейцарія, Швеція
Equalta Мексика
Eraxis Австралія, Канада, Сполучені Штати Америки
Fuzig Мексика

Фактори, що впливають на стабільність   ін'єкція   Фактори, що впливають на стабільність : Anidulafungin        
Список літератури
Розчинник NaHCO3 Спонукає хімічна деградація 1982
температура -20°C Спонукає хімічне осадження 3567

  Mentions Légales