Utolsó frissítés :
27/01/2026
Gombaellenes szer   Anidulafungin  
Injekció
Az oldatok stabilitása A keverékek stabilitása Stabilitást befolyásoló tényezők Kompatibilitás Az alkalmazás módja Irodalom pdf
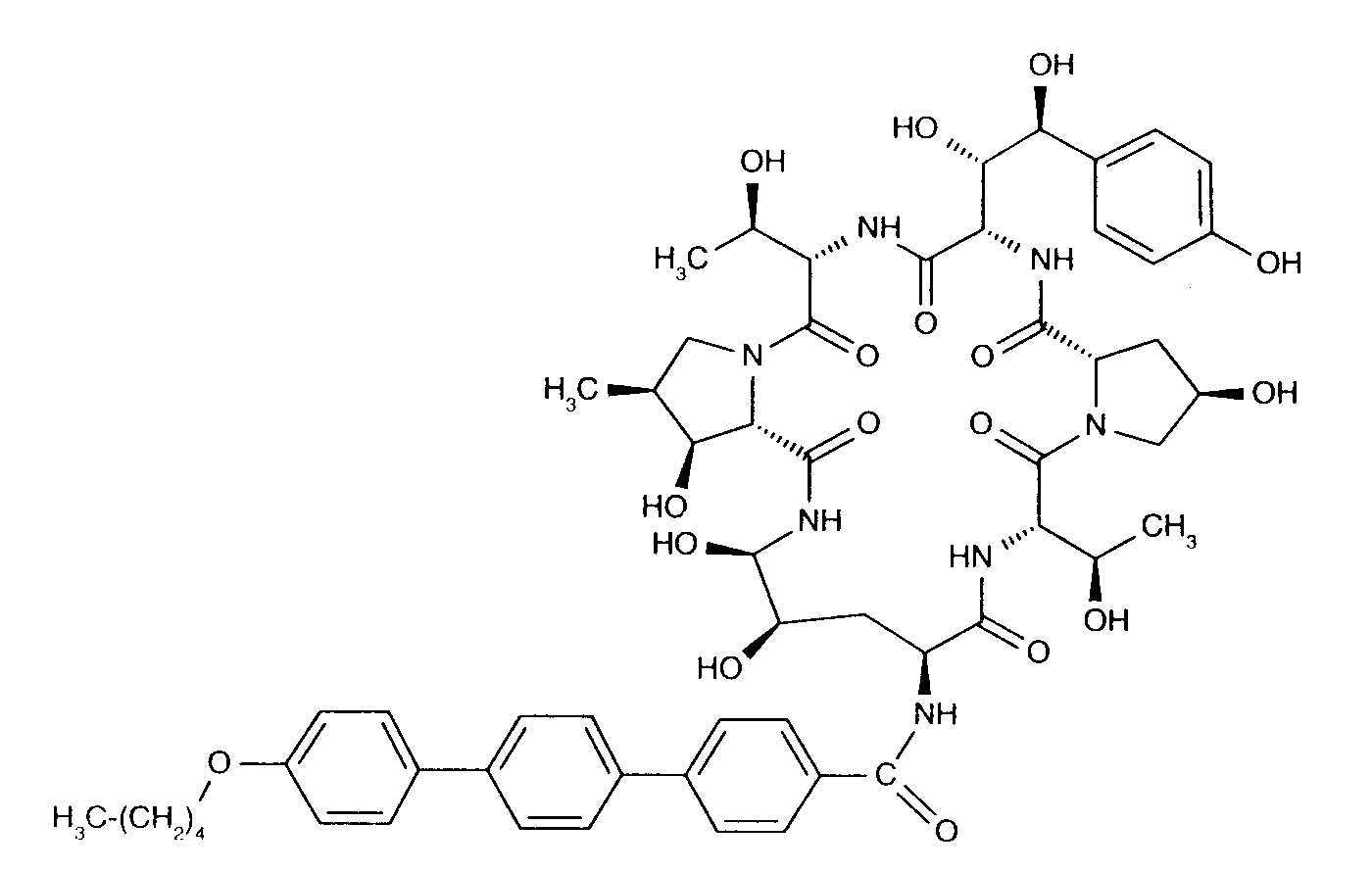
   Kémiai szerkezet   

Kereskedelmi név   Kereskedelmi név     

A kereskedelmi név meghatározó jelentőségű: a készítmények összetétele országonként, előállítóként eltérő lehet

Anidulafungin Belgium, Nagy-Britannia, Németország
Anidulafungina Brazília, Spanyolország
Ecalta Amerikai Egyesült Államok, Argentína, Belgium, Brazília, Chile, Colombia, Dánia, Finnország, Franciaország, Görögország, Hollandia, Kanada, Lengyelország, Luxemburg, Magyarország, Malaysia, Nagy-Britannia, Németország, Norvégia, Olaszország, Peru, Románia, Spanyolország, Svájc, Svédország, Törökország, Venezuela
Equalta Mexikó
Eraxis Amerikai Egyesült Államok, Ausztrália, Kanada
Fuzig Mexikó

Stabilitást befolyásoló tényezők   Injekció   Stabilitást befolyásoló tényezők : Anidulafungin        
Irodalom
Oldószer NaHCO3 Előidéz Lebomlás 1982
Hőmérséklet -20°C Előidéz Lecsapódás 3567

  Mentions Légales