Última actualización :
27/04/2026
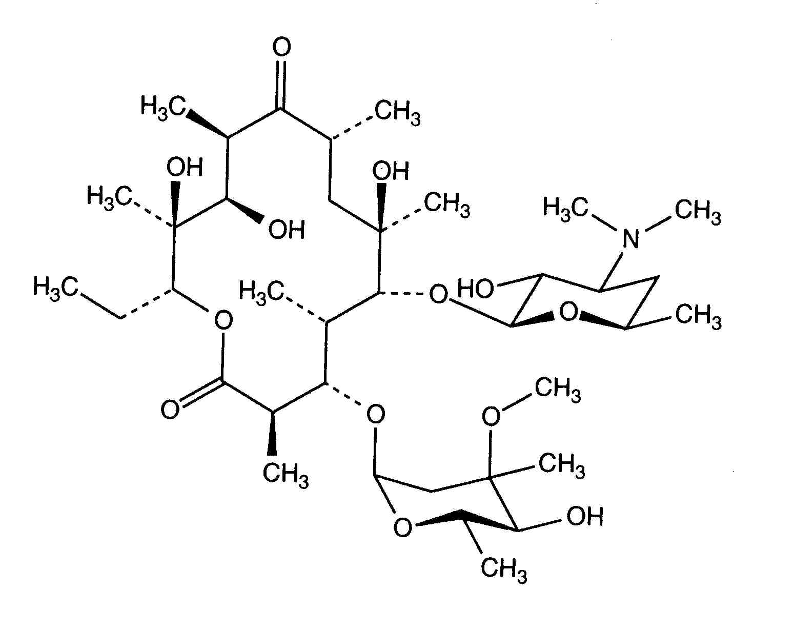
Antibiótico   Erythromycin lactobionate  
Inyectables
Estabilidad en solucion Estabilidad en mezcla Factores que influyen sobre la estabilidad Compatibilidades método de inyección Bibliografía pdf
   Estructura química  

Nombre comercial   Nombre comercial     

Los nombres comerciales son orientativos y los excipientes de la formulación pueden ser distintos dependiendo del país y del laboratorio fabricante.

Abboticin Dinamarca, Finlandia, Noruega, Suecia
Eristin Argentina
Erithromicina Chile
Erycinum Alemania
Erythrocin Alemania, Arabia Saudita, Australia, Austria, Canadá, Estados Unidos de América, Gran Bretaña, Irlanda, Nueva Zelanda
Erythrocin lactobionat ADD Vantage Australia, Austria
Erythrocine Bélgica, Francia, Luxemburgo, Países Bajos, Túnez
Erythromycin Alemania, Arabia Saudita, Estados Unidos de América, Gran Bretaña, Hungría
Erythromycine Luxemburgo
Erythromycinum Polonia
Pantomicina Chile, España
Bibliografía   Inyectables   Bibliografía : Erythromycin lactobionate  
Tipo Publicación
20 periódico Pluta PL, Morgan PK.
Stability of erythromycin in intravenous admixtures.
Am J Hosp Pharm 1986 ; 43: 2732,2738.
22 periódico Sewell GJ, Palmer AJ.
The chemical and physical stability of three intravenous infusions subjected to frozen storage and microwave thawing.
Int J Pharm 1991 ; 72: 57-63.
73 periódico Lor E, Takagi J.
Visual compatibility of foscarnet with other injectable drugs.
Am J Hosp Pharm 1990 ; 47: 157-159.
93 periódico Hutchings SR, Rusho WJ, Tyler LS.
Compatibility of cefmetazole sodium with commonly used drugs during Y-site delivery.
Am J Health-Syst Pharm 1996 ; 53: 2185-2188.
186 periódico Swart EL, Mooren RAG, Van Loenen AC.
Compatibility of midazolam hydrochloride and lorazepam with selected drugs during simulated Y-site administration.
Am J Health-Syst Pharm 1995 ; 52: 2020-2022.
198 periódico Gayed AA, Kheshary PR, Hinkle RL.
Visual compatibility of diltiazem injection with various diluents and medications during simulated Y-site injection.
Am J Health-Syst Pharm 1995 ; 52: 516-520.
317 periódico Kershaw BP, Monnier HL, Mason JH.
Visual compatibility of premixed theophylline or heparin with selected drugs for IV administration.
Am J Hosp Pharm 1993 ; 50: 1360-1362.
336 periódico Forman JK, Lachs JR, Souney PF.
Visual compatibility of acyclovir sodium with commonly used intravenous drugs during simulated Y-site injection.
Am J Hosp Pharm 1987 ; 44: 1408-1409.
337 periódico Bashaw ED, Amantea MA, Minor JR, Galleli JF.
Visual compatibility of zidovudine with other drugs during simulated Y-site administration.
Am J Hosp Pharm 1988 ; 45: 2532-2533.
384 periódico Colucci RD, Cobuzzi LE, Halpern NA.
Visual compatibility of esmolol hydrochloride and various injectable drugs during simulated Y-site injection.
Am J Hosp Pharm 1988 ; 45: 630-632.
385 periódico Benedict MK, Roche VF, Banakar UV, Hilleman DE.
Visual compatibility of amiodarone hydrochloride with various antimicrobial agents during simulated Y-site injection.
Am J Hosp Pharm 1988 ; 45: 1117-1118.
386 periódico Colucci RD, Cobuzzi LE, Halpern NA.
Visual compatibility of labetalol hydrochloride injection with various injectable drugs during simulated Y-site injection.
Am J Hosp Pharm 1988 ; 45: 1357-1358.
397 periódico Fong PA, Ward J.
Visual compatibility of intravenous famotidine with selected drugs.
Am J Hosp Pharm 1989 ; 46: 125-126.
405 periódico Nieves-Cordero AL, Luciw HM, Souney PF.
Compatibility of narcotic analgesic solutions with various antibiotics during simulated Y-site injection.
Am J Hosp Pharm 1985 ; 42: 1108-1109.
479 periódico Min DI, Brown T, HWang GC.
Visual compatibility of tacrolimus with commonly used drugs during simulated Y-site injection.
Am J Hosp Pharm 1992 ; 49: 2964-2966.
491 periódico Turowski RC, Durthaler JM.
Visual compatibility of idarubicin hydrochloride with selected drugs during simulated Y-site injection.
Am J Hosp Pharm 1991 ; 48: 2181-2184.
496 periódico Lor E, Sheybani T, Takagi J.
Visual compatibility of fluconazole with commonly used injectable drugs during simulated Y-site administration.
Am J Hosp Pharm 1991 ; 48: 744-746.
573 periódico Dinel BA, Ayotte DL, Behme RJ, Black BL, Whitby JL.
Stability of antibiotic admixtures frozen in minibags.
Drug Intell Clin Pharm 1977 ; 11: 542-548.
805 periódico Oskroba DM, Leissing NC, Trissel LA.
An automated process for determining the physical compatibility of drugs.
Hosp Pharm 1997 ; 32: 1013-1020.
939 periódico Gilbar PJ, Groves CF.
Visual compatibility of total parenteral nutrition solution (Synthamin 17 Premix*) with selected drugs during simulated Y-site injection.
Aust J Hosp Pharm 1994 ; 24: 167-170.
999 periódico Watson D.
Piggyback compatibility of antibiotics with pediatric parenteral nutrition solution.
JPEN 1985 ; 9: 220-224.
1047 periódico Souney PF, Colucci RD, Mariani G, Campbell D.
Compatibility of magnesium sulfate solutions with various antibiotics during simulated Y-site injection.
Am J Hosp Pharm 1984 ; 41: 323-324.
1057 periódico Cutie MR.
Compatibility of verapamil hydrochloride injection with commonly used additives.
Am J Hosp Pharm 1983 ; 40: 1205-1207.
1135 periódico Baltz JK, Kennedy P, Minor JR, Gallelli J.
Visual compatibility of foscarnet with other injectable drugs during simulated Y-site administration.
Am J Hosp Pharm 1990 ; 47: 2075-2077.
1153 periódico Allwood MC.
The influence of buffering on the stability of erythromycin injection in small-volume infusions.
Int J Pharm 1992 ; 80: R7-R9.
1154 periódico Allwood MC.
The stability of erythromycin injection in small-volume infusions.
Int J Pharm 1990 ; 62: R1-R3.
1201 periódico Yuhas EM, Lofton FT, Rosenberg HA, Mayron D, Baldinus JG.
Cimetidine hydrochloride compatibility III: Room temperature stability in drug admixtures.
Am J Hosp Pharm 1981 ; 38: 1919-1922.
1232 periódico Beatson C, Taylor A.
A physical compatibility study of furosemide & flucloxacillin injections.
Br J Pharm Pract 1987 ; 9: 223-226, 236.
1315 periódico Halpern NA, Colucci RD, Alicea M, Greenstein R.
Visual compatibility of enalaprilat with commonly used critical care medications during simulated Y-site injection.
Int J Pharm Clin Pharmacol Ther Tox 1989 ; 27: 294-297.
1490 periódico Halpern NA, Colucci RD, Alicea M, Greenstein R.
The compatibility of nicardipine hydrochloride injection with various ICU medications during simulated Y-site injection.
Int J Pharm Clin Pharmacol Ther Tox 1989 ; 27: 250-254.
1607 periódico Trissel LA, Zhang Y, Xu QA.
Incompatibility of erythromycin lactobionate and sulfamethoxazole/trimethoprim with linezolid injection.
Hosp Pharm 2000 ; 35: 1192-1196.
1712 periódico Trissel LA, Saenz CA.
Compatibility screening of Precedex during simulated Y-site administration with other drugs.
Int J Pharm Compound 2002 ; 6: 230-233.
1713 periódico Trissel LA, Saenz CA.
Compatibility screening of bivalirudin during simulated Y-site administration with other drugs.
Int J Pharm Compound 2002 ; 6: 311-315.
1721 periódico Trissel LA, Williams KY, Baker MB.
Compatibility screening of Hextend during simulated Y-site administration with other drugs.
Int J Pharm Compound 2001 ; 5: 69-72.
1759 periódico Servais H, Tulkens PM.
Stability and compatibility of ceftazidime administered by continuous infusion to intensive care patients.
Antimicrob Agents Chemother 2001 ; 45: 2643-2647.
1802 periódico Bell MS, Nolt DH.
Visual compatibility of doxapram hydrochloride with drugs commonly administered via a Y-site in the intensive care nursery.
Am J Health-Syst Pharm 2003 ; 60: 193-194.
1803 periódico Trissel, LA, Saenz CA, Ogundele OB, Ingram D, Baker MB.
Compatibility of fenoldopam mesylate with other drugs during simulated Y-site administration.
Am J Health-Syst Pharm 2003 ; 60: 80-85.
1925 periódico Trissel LA , Williams KY, Gilbert DL.
Compatibility screening of linezolid injection during simulated Y-site administration with other drugs and infusion solutions.
J Am Pharm Assoc 2000 ; 40: 515-519.
1982 periódico Trissel LA, Ogundele AB.
Compatibility of anidulafungin with other drugs during simulated Y-site administration.
Am J Health-Syst Pharm 2005 ; 62: 834-837.
2141 periódico Barinian N, Chanteux H, Viaene E, Servais H, Tulkens PM.
Stability and compatibility study of cefepime in comparaison with ceftazidime for potential administration by continuous infusion under conditions pertinent to ambulatory treatment of cystic fibrosis patients and to administration in intensive care units.
J Antimicrob Chemother 2003 ; 51: 651-658.
2231 periódico de Jongh R, Hens R, Basma V, mouton JW, Tulkens PM, Carryn S.
Continuous versus intermittent infusion of temocillin, a directed spectrum penicillin for intensive care patients with nosocomial pneumonia: stability, compatibility, population pharmacokinetic studies and breakpoint selection.
J Antimicrob Chemother 2008 ; 61, 2: 382-388.
3012 periódico Sullivan T, Forrest J.M, Leclair G.
Compatibility of Cloxacillin Sodium with Selected Intravenous Drugs During Simulated Y-Site Administration
Hosp Pharm 2015 ; 50, 3: 214-220.
3216 periódico Legris ME, Valiquette ME, Lavoie A, Forest JM, Leclair G.
Compatibilité physique par évaluation visuelle du salbutamol injectable lors de son administration en Y.
Pharmactuel 2011 ; 44, 1 : 14-18
3385 periódico Raverdi V, Ampe E, Hecq JD, Tulkens PM.
Stability and compatibility of vancomycin for administration by continuous infusion.
J Antimicrob Chemother 2013 ; 68: 1179-1182.
3408 periódico Tollec S, Touzin K, Pelletier E, Forest J.M.
Evaluation visuelle de la compatibilité physique de la naloxone avec d’autres médicaments intraveineux usuels.
Pharmactuel 2013 ; 46, 1 : 16-21.
3520 Laboratorio Cidomycin - Summary of product Chracteristics.
Sanofi 2011
3540 Laboratorio Heparin sodium - Summary of Product Characteristics.
Wockhardt 2010
3549 Laboratorio Amikacine B Braun - Résumé des caractéristiques du produit.
B Braun 2012
3560 Laboratorio Linezolid (Zyvox®) - Summary of Product Characteristics
Pharmacia 2013
3564 Laboratorio Rocuronium B Braun - Résumé des caractéristiques du produit.
B Braun 2012
3602 Laboratorio Mesna (Uromitexan®)- Summary of Product Characteristics
Baxter SAS 2013
3643 Laboratorio Gentamicin sulphate (Cidomycin®) - Summary of Product Characteristics
Sanofi 2015
3674 Laboratorio Erythromycin lactobionate - Summary of Product Characteristics
PanPharma 2016
3766 periódico Forrest J.M, Hildgen P.
Compatibilité de l’acétylcystéine injectable lors de son administration en Y avec d’autres médicaments usuels
Pharmactuel 2014 ; 47, 3 : 161-165.
3767 periódico Legris M.E, Lavoie A, Forrest J.M, Hildgen P.
Compatibilité par évaluation visuelle du thiopental injectable lors de son administration en Y avec des médicaments usuels.
Pharmactuel 2014 ; 47, 3 : 167-172.
3824 periódico Boudi S, Roy H, Forest JM, Leclair G.
Compatibilité physique de l'association amoxicilline-acide clavulanique en injection avec plusieurs autres médicaments lors d'une administration en Y.
Pharmactuel 2023 2023;56,3:91-98
3964 periódico Audet M.A, Forest E, Friciu M, Forest J.M, Leclair G.
Compatibilité du citrate de caféine injectable avec plusieurs autres médicaments.
Pharmactuel 2017 ; 50,1 : 27-33.
4319 periódico Lessard J-J, Caron E, Schérer H, Forest J-M, Leclair G.
Compatibility of Y-site Injection of Meropenem Trihydrate With 101 Other Injectable Drugs.
Hosp Pharm 2020 ; 55, 5: 332-337.
4603 periódico Vallée M, Barthélémy I, Friciu M, Pelletier E, Forest J.M, Benoit F, Leclair G.
Compatibility of Lactated Ringer’s Injection With 94 Selected Intravenous Drugs During Simulated Y-site Administration.
Hosp Pharm 2021 ; 56, 4: 228-234.
4742 periódico Macoviciuc M, Nguyen C, Forest J-M, Leclair G.
Compatibilité physique de l’acétaminophène injectable avec 102 autres médicaments lors d’une administration en Y.
Pharmactuel 2022 ; 55, 4: 247-255.
5046 Laboratorio Metaraminol 10 mg/ml Solution for Injection or Infusion - Package leaflet: Information for the user.
Global Harvest Pharmaceuticals 2020
5089 Laboratorio Ascorbic Acid Injection 500mg/5ml - Summary of Product Characteristics Updated 04-Jan-2024 | Phoenix Labs
Phoenix Labs 2024

  Mentions Légales