Son güncelleme :
27/01/2026
Vazodilatör   Alprostadil  
Enjeksiyon
Çözeltilerin stabilitesi Karışımlardaki stabilitesi Stabiliteyi etkileyen faktörler Uyumluluk Uygulama yöntemi Kaynaklar pdf
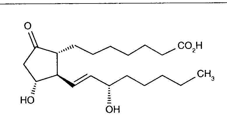
   Kimyasal yapı   

Ticari isim   Ticari isim     

Trade names are indicative and excipients composition can be different depending on the country and manufacturers

Alfaprostin Mısır
Alistint Meksika, Peru
Alprostadil Almanya, Amerika Birleşik Devletleri, Arjantin, Avustralya, Ekvador, İspanya, Kanada, Malezya, Peru, Romanya, Şili, Suudi Arabistan, Türkiye
Alprostapint Arjantin, Avusturya, Ekvador, Kolombiya, Macaristan, Peru
Alprostar İtalya
Aplicav
Cardiobonisol Polonya
Caverject Amerika Birleşik Devletleri, Avusturya, Belçika, Birleşik Arap Emirlikleri, Brezilya, Büyük Britanya, Danimarka, Fransa, İspanya, İsveç, İsviçre, İtalya, Kanada, Kolombiya, Norveç, Polonya, Portekiz, Şili, Slovenya, Türkiye
Edex Amerika Birleşik Devletleri, Fransa, Tunus, Yunanistan
Liple Japonya
Minprog Almanya, Avusturya
Ostapint Meksika, Peru
Palux Japonya
Pridax Almanya, Avusturya, İspanya, Romanya
Prolisina VR Arjantin
Prostandin Japonya
Prostavasin Almanya, Avusturya, İran, İtalya, Lüksemburg, Macaristan, Mısır, Polonya
Prostin VR Amerika Birleşik Devletleri, Belçika, Büyük Britanya, Danimarka, Finlandiya, Hırvatistan, Hollanda, İran, İsviçre, İtalya, Kanada, Kolombiya, Lüksemburg, Macaristan, Malezya, Norveç, Polonya, Portekiz, Suudi Arabistan, Venezuela, Yunanistan
Prostine VR Fransa
Vasaprostan Romanya
Çözeltilerin stabilitesi   Enjeksiyon    Çözeltilerin stabilitesi : Alprostadil     
Saklama kabı Çözücü Konsantrasyon Isı Saklama    Stabilite süresi Kaynaklar
Cam Sodyum klorür % 0,9 25 µg/ml 4°C Belirtilmemiş
82 Gün
2003
Kanıt düzeyi B

Polivinil klorür Sodyum klorür % 0,9 11 µg/ml 2-8°C Işıktan koruyunuz
10 Gün
3961
Kanıt düzeyi D

Polipropilen Glukoz %10 1.5 µg/ml 28-32°C I_ık
48 Zaman
4069
Kanıt düzeyi C+

Polipropilen Glukoz %10 15 µg/ml 28-32°C I_ık
48 Zaman
4069
Kanıt düzeyi C+

Şırınga polipropilen Glukoz %10 1,5 µg/ml 28-32°C I_ık
48 Zaman
3761
Kanıt düzeyi D

Şırınga polipropilen Glukoz %10 15 µg/ml 28-32°C I_ık
48 Zaman
3761
Kanıt düzeyi D

Belirtilmemiş Sodyum klorür % 0,9 10 µg/ml 2-8°C Işıktan koruyunuz
15 Gün
2151
Kanıt düzeyi B


  Mentions Légales