Pēdējā atjaunošana :
27/01/2026
Vazodiletators   Alprostadil  
Injekcija
Šķīduma stabilitāte Maisījuma stabilitāte Stabilitāti ietekmējoši faktori Saderība Levadīšanas veids Literatūras saraksts pdf
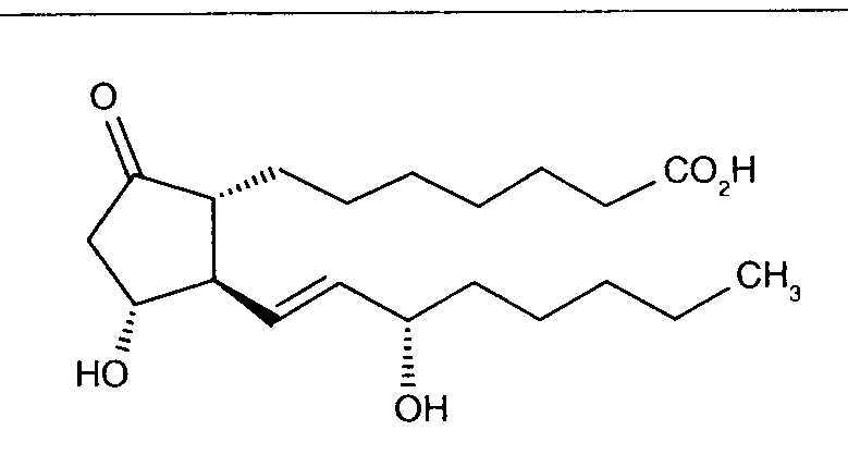
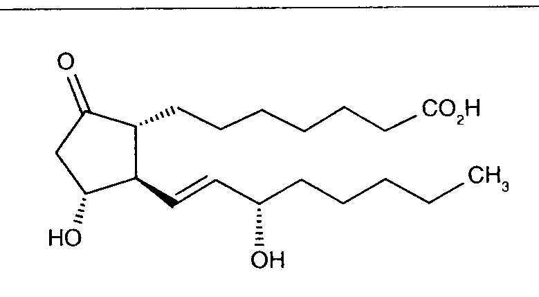
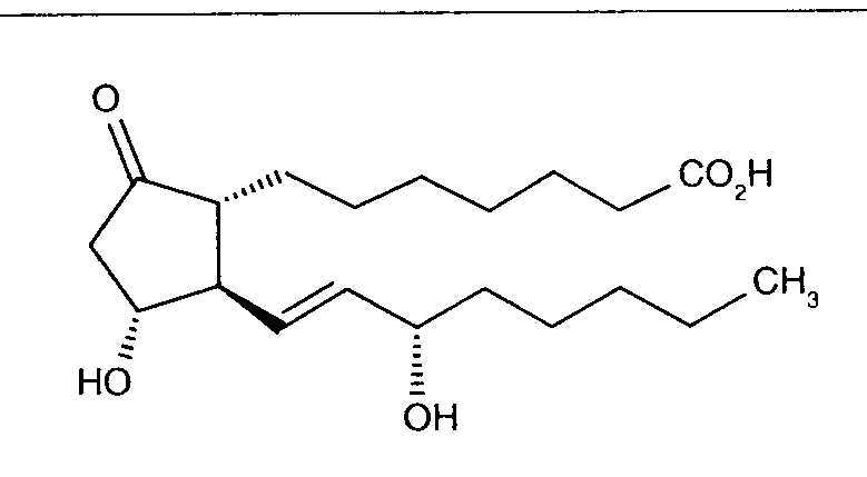
   Ķīmiskā uzbūve   

Oriģinālais nosaukums   Oriģinālais nosaukums     

Tirdzniecības nosaukumi ir apzīmējoši un palīgvielas var atšķirties dažādām valstīm un laboratorijām

Alfaprostin Ēģipte
Alistint Meksika, Peru
Alprostadil Amerikas Savienotās Valstis, Argentīna, Austrālija, Čīle, Ekvadora, Kanāda, Malaizija, Peru, Rumānija, Saūda Arābija, Spānija, Turcija, Vācija
Alprostapint Argentīna, Austrija, Ekvadora, Kolumbija, Peru, Ungārija
Alprostar Itālija
Aplicav
Cardiobonisol Polija
Caverject Amerikas Savienotās Valstis, Apvienotie Arābu Emirāti, Austrija, Beļģija, Brazīlija, Čīle, Dānija, Francija, Itālija, Kanāda, Kolumbija, Lielbritānija, Norvēģija, Polija, Portugāle, Slovēnija, Spānija, Šveice, Turcija, Zviedrija
Edex Amerikas Savienotās Valstis, Francija, Grieķija, Tunisija
Liple Japāna
Minprog Austrija, Vācija
Ostapint Meksika, Peru
Palux Japāna
Pridax Austrija, Rumānija, Spānija, Vācija
Prolisina VR Argentīna
Prostandin Japāna
Prostavasin Austrija, Ēģipte, Irāna, Itālija, Luksemburga, Polija, Ungārija, Vācija
Prostin VR Amerikas Savienotās Valstis, Beļģija, Dānija, Grieķija, Holande, Horvātija, Irāna, Itālija, Kanāda, Kolumbija, Lielbritānija, Luksemburga, Malaizija, Norvēģija, Polija, Portugāle, Saūda Arābija, Somija, Šveice, Ungārija, Venecuēla
Prostine VR Francija
Vasaprostan Rumānija
Šķīduma stabilitāte   Injekcija   Šķīduma stabilitāte : Alprostadil     
Iepakojums Šķīdinātājs Koncentrācija Temperatūra Glabāšana Stabilitātes ilgums Literatūras saraksts
Stikls Nātrija hlorīds 0.9% 25 µg/ml 4°C Nav specifisks
82 Diena
2003
Pierādījumu līmenis B

Polivinilhlorīds Nātrija hlorīds 0.9% 11 µg/ml 2-8°C Aizsargāt no gaismas
10 Diena
3961
Pierādījumu līmenis D

Polipropilēns 10% glikoze 1.5 µg/ml 28-32°C Gaisma
48 Stunda
4069
Pierādījumu līmenis C+

Polipropilēns 10% glikoze 15 µg/ml 28-32°C Gaisma
48 Stunda
4069
Pierādījumu līmenis C+

Šļirce polipropilēna 10% glikoze 1,5 µg/ml 28-32°C Gaisma
48 Stunda
3761
Pierādījumu līmenis D

Šļirce polipropilēna 10% glikoze 15 µg/ml 28-32°C Gaisma
48 Stunda
3761
Pierādījumu līmenis D

Nespecifisks Nātrija hlorīds 0.9% 10 µg/ml 2-8°C Aizsargāt no gaismas
15 Diena
2151
Pierādījumu līmenis B


  Mentions Légales