Ostatnia aktualizacja :
27/11/2025
Lek rozszerzający naczynia   Alprostadil  
Injekcje
Trwałość roztworów Trwałość w mieszaninie Czynnik wpływający na trwałość Zgodność Sposób podania Bibliografia pdf
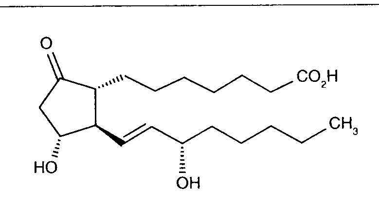
   Struktura chemiczna  

Nazwa handlowa   Nazwa handlowa     

Trade names are indicative and excipients composition can be different depending on the country and manufacturers

Alfaprostin Egipt
Alistint Meksyk, Peru
Alprostadil Arabia Saudyjska, Argentyna, Australia, Chile, Ekwador, Hiszpania, Kanada, Malezja, Niemcy, Peru, Rumunia, Stany Zjednoczone Ameryki, Turcja
Alprostapint Argentyna, Austria, Ekwador, KolumbiaKolumbia, Peru, Węgry
Alprostar Włochy
Aplicav
Cardiobonisol Polska
Caverject Austria, Belgia, Brazylia, Chile, Dania, Francja , Hiszpania, Kanada, KolumbiaKolumbia, Norwegia, Polska, Portugalia, Stany Zjednoczone Ameryki, Szwajcaria, Szwecja, Słowenia, Turcja, Wielka Brytania, Włochy, Zjednoczone Emiraty Arabskie
Edex Francja , Grecja, Stany Zjednoczone Ameryki, Tunisie
Liple Japonia
Minprog Austria, Niemcy
Ostapint Meksyk, Peru
Palux Japonia
Pridax Austria, Hiszpania, Niemcy, Rumunia
Prolisina VR Argentyna
Prostandin Japonia
Prostavasin Austria, Egipt, Iran, Luksemburg, Niemcy, Polska, Węgry, Włochy
Prostin VR Arabia Saudyjska, Belgia, Chorwacja, Dania, Finlandia, Grecja, Holandia, Iran, Kanada, KolumbiaKolumbia, Luksemburg, Malezja, Norwegia, Polska, Portugalia, Stany Zjednoczone Ameryki, Szwajcaria, Węgry, Wenezuela, Wielka Brytania, Włochy
Prostine VR Francja
Vasaprostan Rumunia
Trwałość roztworów   Injekcje   Trwałość roztworów : Alprostadil     
Pojemnik Rozpuszczalnik Stężenie Temperatura Przechowywanie Czas trwania stabilności Bibliografia
Szkło Chlorek sodu 0,9% 25 µg/ml 4°C Nie wyszczególniony
82 Dzień
2003
Poziom wiarygodności B

Polichlorek winylu Chlorek sodu 0,9% 11 µg/ml 2-8°C Chronić od światła
10 Dzień
3961
Poziom wiarygodności D

Polipropylen Glukoza 10% 1.5 µg/ml 28-32°C światło
48 Godzina
4069
Poziom wiarygodności C+

Polipropylen Glukoza 10% 15 µg/ml 28-32°C światło
48 Godzina
4069
Poziom wiarygodności C+

Strzykawka Glukoza 10% 1,5 µg/ml 28-32°C światło
48 Godzina
3761
Poziom wiarygodności D

Strzykawka Glukoza 10% 15 µg/ml 28-32°C światło
48 Godzina
3761
Poziom wiarygodności D

Brak informacji Chlorek sodu 0,9% 10 µg/ml 2-8°C Chronić od światła
15 Dzień
2151
Poziom wiarygodności B


  Mentions Légales