zadnja posodobitev :
27/01/2026
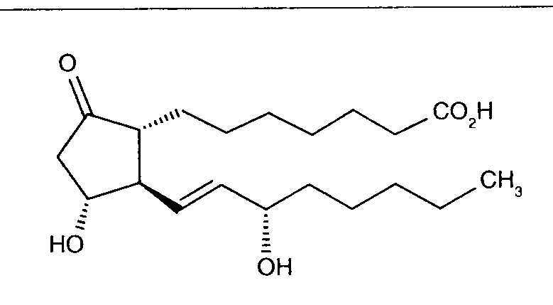
Vazodilatator   Alprostadil  
Brizgalka
Stabilnost raztopine Stabilnost mešanice Faktorji, ki vplivajo na stabilnost Kompatibilnost način aplikacije Viri pdf
   Kemična formula  

Lastniško ime   Lastniško ime     

Sestava pomožnih snovi je med paralelami lahko različna

Alfaprostin Egipt
Alistint Mehika, Peru
Alprostadil Argentina, Avstralija, Čile, Ekvador, Kanada, Malezija, Nemčija, Peru, Romunija, Savdska Arabija, Španija, Turčija, Združene države Amerike
Alprostapint Argentina, Avstrija, Ekvador, Kolumbija, Madžarska, Peru
Alprostar Italija
Aplicav
Cardiobonisol Poljska
Caverject Avstrija, Belgija, Brazilija, Čile, Danska, Francija, Italija, Kanada, Kolumbija, Norveška, Poljska, Portugalska, Slovenija, Španija, Švedska, Švica, Turčija, Velika Britanija, Združene države Amerike, Združeni arabski emirati
Edex Francija, Grčija, Tunizija, Združene države Amerike
Liple Japonska
Minprog Avstrija, Nemčija
Ostapint Mehika, Peru
Palux Japonska
Pridax Avstrija, Nemčija, Romunija, Španija
Prolisina VR Argentina
Prostandin Japonska
Prostavasin Avstrija, Egipt, Iran, Italija, Luksemburg, Madžarska, Nemčija, Poljska
Prostin VR Belgija, Danska, Finska, Grčija, Hrvaška, Iran, Italija, Kanada, Kolumbija, Luksemburg, Madžarska, Malezija, Nizozemska, Norveška, Poljska, Portugalska, Savdska Arabija, Švica, Velika Britanija, Venezuela, Združene države Amerike
Prostine VR Francija
Vasaprostan Romunija
Stabilnost raztopine   Brizgalka   Stabilnost raztopine : Alprostadil     
Vsebnik Topilo Koncentracija Temperatura Shranjevanje Trajanje stabilnosti Viri
Steklo Natrijev klorid 0,9% 25 µg/ml 4°C Nedoločeno
82 Dan
2003
 Stopnja dokaza B

Polivinil klorid Natrijev klorid 0,9% 11 µg/ml 2-8°C Zaščiteno pred svetlobo
10 Dan
3961
 Stopnja dokaza D

Polipropilen Glucoza 10% 1.5 µg/ml 28-32°C Svetloba
48 čas
4069
 Stopnja dokaza C+

Polipropilen Glucoza 10% 15 µg/ml 28-32°C Svetloba
48 čas
4069
 Stopnja dokaza C+

Brizgalka polipropilen Glucoza 10% 1,5 µg/ml 28-32°C Svetloba
48 čas
3761
 Stopnja dokaza D

Brizgalka polipropilen Glucoza 10% 15 µg/ml 28-32°C Svetloba
48 čas
3761
 Stopnja dokaza D

Nedoločeno Natrijev klorid 0,9% 10 µg/ml 2-8°C Zaščiteno pred svetlobo
15 Dan
2151
 Stopnja dokaza B


  Mentions Légales