Senaste uppdateringen :
27/01/2026
Vasodilaterare   Alprostadil  
injektion
Lösningars stabilitet Stabilitet i blandningar Faktorer som påverkar stabiliteten Kompatibilitet Administreringssätt Hänvisningar pdf
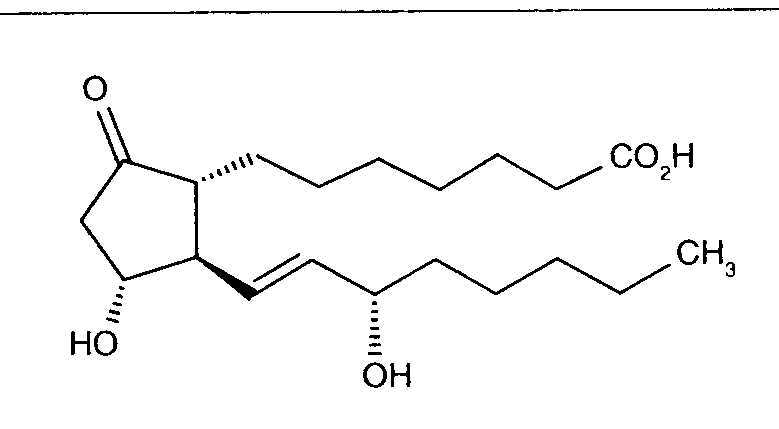
   Molekylstruktur  

Varunamn   Varunamn     

Angivna handelsnamn på läkemedel är enbart vägledande då formulering inklusive hjälpämnen kan variera mellan länder och tillverkare

Alfaprostin Egypten
Alistint Mexiko, Peru
Alprostadil Argentina, Australien, Chile, Ecuador, Förenta Staterna, Kanada, Malaysia, Peru, Rumänien, Saudi-Arabien, Spanien, Turkiet, Tyskland
Alprostapint Argentina, Colombia, Ecuador, Österrike, Peru, Ungern
Alprostar Italien
Aplicav
Cardiobonisol Polen
Caverject Belgien, Brasilien, Chile, Colombia, Danmark, Förenade Arabemiraten, Förenta Staterna, Frankrike, Italien, Kanada, Norge, Österrike, Polen, Portugal, Schweiz, Slovenien, Spanien, Storbritannien, Sverige, Turkiet
Edex Förenta Staterna, Frankrike, Grekland, Tunisien
Liple Japan
Minprog Österrike, Tyskland
Ostapint Mexiko, Peru
Palux Japan
Pridax Österrike, Rumänien, Spanien, Tyskland
Prolisina VR Argentina
Prostandin Japan
Prostavasin Egypten, Iran, Italien, Luxemburg, Österrike, Polen, Tyskland, Ungern
Prostin VR Belgien, Colombia, Danmark, Finland, Förenta Staterna, Grekland, Iran, Italien, Kanada, Kroatien, Luxemburg, Malaysia, Nederländerna, Norge, Polen, Portugal, Saudi-Arabien, Schweiz, Storbritannien, Ungern, Venezuela
Prostine VR Frankrike
Vasaprostan Rumänien
Lösningars stabilitet   injektion   Lösningars stabilitet : Alprostadil     
Behållare Lösningsmedel Koncentration Temperatur Förvaring Stabilitets varaktighet Hänvisningar
Glas Natriumklorid 0,9 % 25 µg/ml 4°C Ej angiven
82 Dag
2003
Evidensnivå B

Polyvinylklorid Natriumklorid 0,9 % 11 µg/ml 2-8°C Skyddas från ljus
10 Dag
3961
Evidensnivå D

Polypropylen Glukos 10 % 1.5 µg/ml 28-32°C Ljus
48 Timma
4069
Evidensnivå C+

Polypropylen Glukos 10 % 15 µg/ml 28-32°C Ljus
48 Timma
4069
Evidensnivå C+

Spruta polypropen Glukos 10 % 1,5 µg/ml 28-32°C Ljus
48 Timma
3761
Evidensnivå D

Spruta polypropen Glukos 10 % 15 µg/ml 28-32°C Ljus
48 Timma
3761
Evidensnivå D

Ej angiven Natriumklorid 0,9 % 10 µg/ml 2-8°C Skyddas från ljus
15 Dag
2151
Evidensnivå B


  Mentions Légales