Letztes “update” :
27/04/2026
Vasodilatator   Alprostadil  
Injektion
Stabilität der Lösung Gemengestabilität Stabilitätbeeinflussende Faktoren Kompatibilitäten Applikationsart Literaturverzeichnis pdf
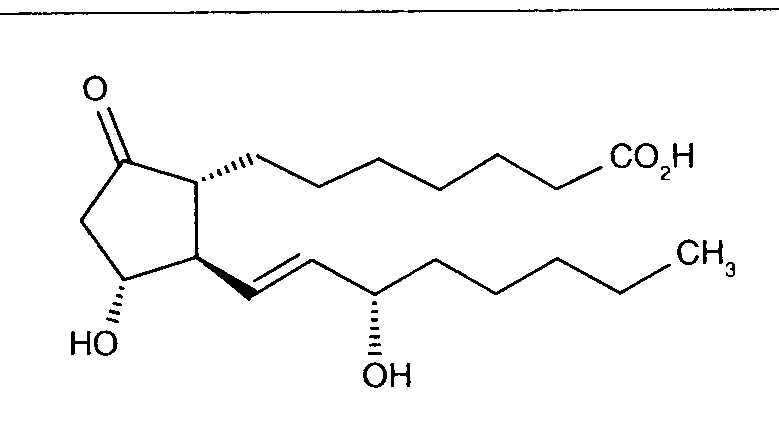
   Chemische Struktur  

Handelsmarke   Handelsmarke     

Handelsnamen sind als beispielhaft anzusehen. Sonstige Bestandteile können je nach Hersteller oder Land verschieden sein

Alfaprostin Ägypten
Alistint Mexiko, Peru
Alprostadil Argentinien, Australien, Chile, Deutschland, Ecuador, Kanada, Malaysia, Peru, Rumänien, Saudi-Arabien, Spanien, Türkei, Vereinigte Staaten von Amerika
Alprostapint Argentinien, Ecuador, Kolumbien, Österreich, Peru, Ungarn
Alprostar Italien
Aplicav
Cardiobonisol Polen
Caverject Belgien, Brasilien, Chile, Dänemark, Frankreich, Großbritannien, Italien, Kanada, Kolumbien, Norwegen, Österreich, Polen, Portugal, Schweden, Schweiz, Slowenien, Spanien, Türkei, Vereinigte Arabische Emirate, Vereinigte Staaten von Amerika
Edex Frankreich, Griechenland, Tunesien, Vereinigte Staaten von Amerika
Liple Japan
Minprog Deutschland, Österreich
Ostapint Mexiko, Peru
Palux Japan
Pridax Deutschland, Österreich, Rumänien, Spanien
Prolisina VR Argentinien
Prostandin Japan
Prostavasin Ägypten, Deutschland, Iran, Italien, Luxemburg, Österreich, Polen, Ungarn
Prostin VR Belgien, Dänemark, Finnland, Griechenland, Großbritannien, Iran, Italien, Kanada, Kolumbien, Kroatien, Luxemburg, Malaysia, Niederlande, Norwegen, Polen, Portugal, Saudi-Arabien, Schweiz, Ungarn, Venezuela, Vereinigte Staaten von Amerika
Prostine VR Frankreich
Vasaprostan Rumänien
Stabilität der Lösung   Injektion   Stabilität der Lösung : Alprostadil     
Behälter Lösungsmittel Konzentration Temperatur Konservierung Dauer der Stabilität Literaturverzeichnis
Glas 0,9% Natriumchlorid 25 µg/ml 4°C Nicht genau angegeben
82 Tag
2003
Evidenzgrad B

Polyvinylchlorid 0,9% Natriumchlorid 11 µg/ml 2-8°C Ohne Licht
10 Tag
3961
Evidenzgrad D

Polypropylen 10% Glucose 1.5 µg/ml 28-32°C Licht
48 Stunde
4069
Evidenzgrad C+

Polypropylen 10% Glucose 15 µg/ml 28-32°C Licht
48 Stunde
4069
Evidenzgrad C+

 Spritze Polypropylen 10% Glucose 1,5 µg/ml 28-32°C Licht
48 Stunde
3761
Evidenzgrad D

 Spritze Polypropylen 10% Glucose 15 µg/ml 28-32°C Licht
48 Stunde
3761
Evidenzgrad D

Nicht genau angegeben 0,9% Natriumchlorid 10 µg/ml 2-8°C Ohne Licht
15 Tag
2151
Evidenzgrad B


  Mentions Légales