Seneste opdatering :
27/01/2026
Vasodilator   Alprostadil  
Injektion
Stabilitet i (vandige) opløsninger Stabilitet i blandinger Faktorer der påvirker stabiliteten Kompatibilitet Administrationsvej Bibliografi pdf
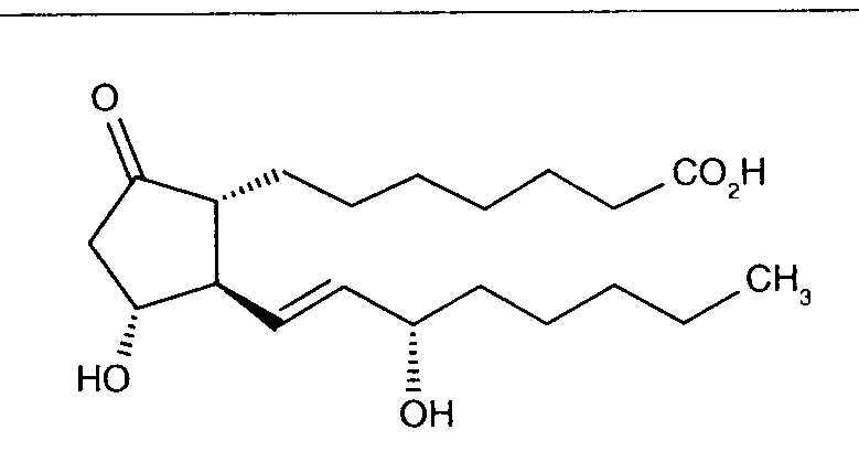
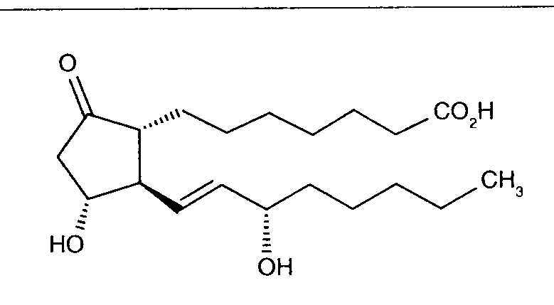
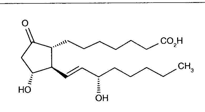
   Kemisk struktur  

Handelsnavn   Handelsnavn     

Handel navne er vejledende og hjælpestoffer sammensætning kan være forskellig afhængigt af landet og laboratorier

Alfaprostin Ægypten
Alistint Marokko, Mexico
Alprostadil Argentina, Australien, Canada, Chile, Ecuador, Malaysia, Marokko, Rumænien, Saudi-Arabien, Spanien, Tyrkiet, Tyskland, USA
Alprostapint Argentina, Colombia, Ecuador, Marokko, Ungarn, Østrig
Alprostar Italien
Aplicav
Cardiobonisol Polen
Caverject Belgien, Brasilien, Canada, Chile, Colombia, Danmark, Forenede Arabiske Emirater, Frankrig, Italien, Norge, Polen, Portugal, Schweiz, Slovenien, Spanien, Storbritanien, Sverige, Tyrkiet, USA, Østrig
Edex Frankrig, Grækenland, Tunesien, USA
Liple Japan
Minprog Tyskland, Østrig
Ostapint Marokko, Mexico
Palux Japan
Pridax Rumænien, Spanien, Tyskland, Østrig
Prolisina VR Argentina
Prostandin Japan
Prostavasin Iran, Italien, Luxemborg, Polen, Tyskland, Ungarn, Ægypten, Østrig
Prostin VR Belgien, Canada, Colombia, Danmark, Finland, Grækenland, Holland, Iran, Italien, Kroatien, Luxemborg, Malaysia, Norge, Polen, Portugal, Saudi-Arabien, Schweiz, Storbritanien, Ungarn, USA, Venezuela
Prostine VR Frankrig
Vasaprostan Rumænien
Stabilitet i (vandige) opløsninger   Injektion   Stabilitet i (vandige) opløsninger : Alprostadil     
Beholder Opløsningsmiddel Koncentration Temperatur Konservering Varighed af stabilitet Bibliografi
Glas 0,9 % Natriumklorid 25 µg/ml 4°C Ikke nærmere angivet
82 Dag
2003
Level af bevismateriale B

Polyvinylklorid 0,9 % Natriumklorid 11 µg/ml 2-8°C Beskyt mod lys
10 Dag
3961
Level af bevismateriale D

Polypropylen 10% Glucose 1.5 µg/ml 28-32°C Lys
48 Time
4069
Level af bevismateriale C+

Polypropylen 10% Glucose 15 µg/ml 28-32°C Lys
48 Time
4069
Level af bevismateriale C+

sprøjte polypropylen 10% Glucose 1,5 µg/ml 28-32°C Lys
48 Time
3761
Level af bevismateriale D

sprøjte polypropylen 10% Glucose 15 µg/ml 28-32°C Lys
48 Time
3761
Level af bevismateriale D

Ikke angivet nærmere 0,9 % Natriumklorid 10 µg/ml 2-8°C Beskyt mod lys
15 Dag
2151
Level af bevismateriale B


  Mentions Légales