Last update :
27/01/2026
Vasodilator   Alprostadil  
injection
Stability in solutions Stability of mixtures Factors which affect stability Compatibility Route of administration References pdf
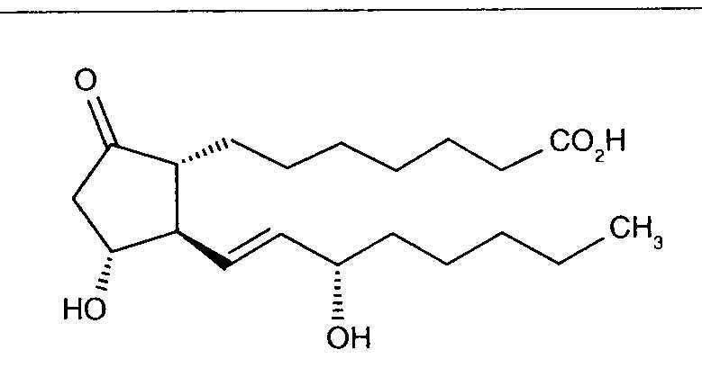
   Chemical structure  

Tradename   Tradename     

Trade names are indicative and excipients composition can be different depending on the country and manufacturers

Alfaprostin Egypt
Alistint Mexico, Peru
Alprostadil Argentina, Australia, Canada, Chile, Ecuador, Germany, Malaysia, Peru, Romania, Saudi Arabia, Spain, Turkey, United States of America
Alprostapint Argentina, Austria, Colombia, Ecuador, Hungary, Peru
Alprostar Italy
Aplicav
Cardiobonisol Poland
Caverject Austria, Belgium, Brazil, Canada, Chile, Colombia, Denmark, France, Great Britain, Italy, Norway, Poland, Portugal, Slovenia, Spain, Sweden, Switzerland, Turkey, United Arab Emirates, United States of America
Edex France, Greece, Tunisia, United States of America
Liple Japan
Minprog Austria, Germany
Ostapint Mexico, Peru
Palux Japan
Pridax Austria, Germany, Romania, Spain
Prolisina VR Argentina
Prostandin Japan
Prostavasin Austria, Egypt, Germany, Hungary, Iran, Italy, Luxembourg, Poland
Prostin VR Belgium, Canada, Colombia, Croatia, Denmark, Finland, Great Britain, Greece, Hungary, Iran, Italy, Luxembourg, Malaysia, Netherlands, Norway, Poland, Portugal, Saudi Arabia, Switzerland, United States of America, Venezuela
Prostine VR France
Vasaprostan Romania
Stability in solutions   injection   Stability in solutions : Alprostadil     
Container Solvent Concentration Temperature Storage Duration of stability References
Glass Sodium chloride 0,9% 25 µg/ml 4°C Not specified
82 Day
2003
Level of evidence B

Polyvinyl chloride Sodium chloride 0,9% 11 µg/ml 2-8°C Protect from light
10 Day
3961
Level of evidence D

Polypropylene Glucose 10% 1.5 µg/ml 28-32°C Light
48 Hour
4069
Level of evidence C+

Polypropylene Glucose 10% 15 µg/ml 28-32°C Light
48 Hour
4069
Level of evidence C+

Polypropylen Syringe Glucose 10% 1,5 µg/ml 28-32°C Light
48 Hour
3761
Level of evidence D

Polypropylen Syringe Glucose 10% 15 µg/ml 28-32°C Light
48 Hour
3761
Level of evidence D

Not specified Sodium chloride 0,9% 10 µg/ml 2-8°C Protect from light
15 Day
2151
Level of evidence B


  Mentions Légales