Laatste update :
27/01/2026
Vaatverwijder   Alprostadil  
injecteerbaar geneesmiddel
Stabiliteit in oplossing Stabiliteit in mengsels Factoren die de stabiliteit beïnvloeden Verenigbaarheden Toedieningswijze Literatuur pdf
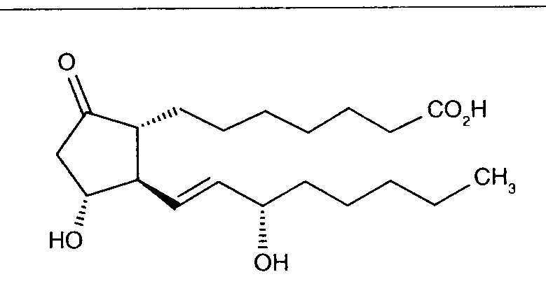
   Molecuulstructuur  

Merknamen in verschillende landen   Merknamen in verschillende landen     

Handelsnamen zijn slechts een indicatie; de samenstelling van hulpstoffen kan per land variëren afhankelijk van de fabrikant

Alfaprostin Egypte
Alistint Mexico, Peru
Alprostadil Argentinië, Australië, Canada, Chili, Duitsland, Ecuador, Maleisië, Peru, Roemenië, Saudi-Arabië, Spanje, Turkije, USA
Alprostapint Argentinië, Colombia, Ecuador, Hongarije, Oostenrijk, Peru
Alprostar Italië
Aplicav
Cardiobonisol Polen
Caverject België, Brazilië, Canada, Chili, Colombia, Denemarken, Frankrijk, Groot Britannië, Italië, Noorwegen, Oostenrijk, Polen, Portugal, Slovenië, Spanje, Turkije, USA, Verenigde Arabische Emiraten, Zweden, Zwitserland
Edex Frankrijk, Griekenland, Tunisie, USA
Liple Japan
Minprog Duitsland, Oostenrijk
Ostapint Mexico, Peru
Palux Japan
Pridax Duitsland, Oostenrijk, Roemenië, Spanje
Prolisina VR Argentinië
Prostandin Japan
Prostavasin Duitsland, Egypte, Hongarije, Iran, Italië, Luxemburg, Oostenrijk, Polen
Prostin VR België, Canada, Colombia, Denemarken, Finland, Griekenland, Groot Britannië, Hongarije, Iran, Italië, Kroatië, Luxemburg, Maleisië, Nederland, Noorwegen, Polen, Portugal, Saudi-Arabië, USA, Venezuela, Zwitserland
Prostine VR Frankrijk
Vasaprostan Roemenië
Stabiliteit in oplossing   injecteerbaar geneesmiddel   Stabiliteit in oplossing : Alprostadil     
Verpakking Oplosmiddel Concentratie Temperatuur Bewaring Duur van de stabiliteit Literatuur
Glas Natriumchloride 0,9% 25 µg/ml 4°C Niet gespecificeerd
82 Dag
2003
Bewijsniveau B

Polyvinylchloride (PVC) Natriumchloride 0,9% 11 µg/ml 2-8°C Buiten invloed van licht
10 Dag
3961
Bewijsniveau D

Polypropyleen (PP) Glucose 10% 1.5 µg/ml 28-32°C Licht
48 Uur
4069
Bewijsniveau C+

Polypropyleen (PP) Glucose 10% 15 µg/ml 28-32°C Licht
48 Uur
4069
Bewijsniveau C+

injectiespuit polypropyleen Glucose 10% 1,5 µg/ml 28-32°C Licht
48 Uur
3761
Bewijsniveau D

injectiespuit polypropyleen Glucose 10% 15 µg/ml 28-32°C Licht
48 Uur
3761
Bewijsniveau D

Niet gespecificeerd Natriumchloride 0,9% 10 µg/ml 2-8°C Buiten invloed van licht
15 Dag
2151
Bewijsniveau B


  Mentions Légales