Останнє оновлення :
25/03/2026
Антикоагулянти   Bivalirudin  
ін'єкція
Стійкість в розчинах Стійкість сумішей Фактори, що впливають на стабільність Сумісність Шлях введення Список літератури pdf
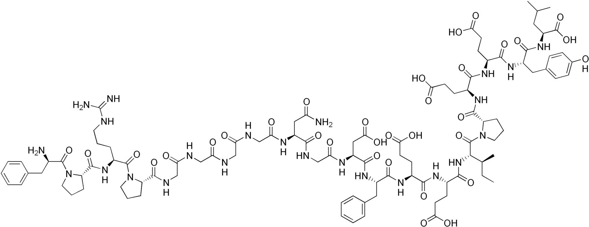
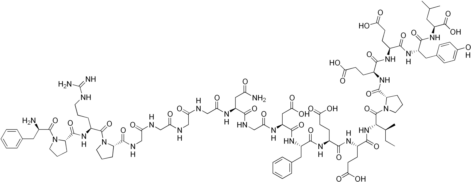
   Хімічна структура  

Торгова назва   Торгова назва     

Торгові назви є орієнтовними, а склад допоміжних речовин може бути різним залежно від країни та виробника

Amuprux Аргентина
Angiomax Австралія, Венесуела, Канада, Нова Зеландія, Перу, Сполучені Штати Америки, Чилі
Angiox Ісландія, Іспанія, Італія, Австрія, Великобританія, Греція, Данія, Нідерланди, Норвегія, Польща, Румунія, Словенія, Сполучені Штати Америки, Угорщина, Фінляндія
Bivalirudin Бельгія, Великобританія, Данія, Німеччина, Словенія, Фінляндія, Швеція
Bivalirudina Іспанія, Італія

Фактори, що впливають на стабільність   ін'єкція   Фактори, що впливають на стабільність : Bivalirudin        
7 / 5 000 Résultats de traduction Немає даних

  Mentions Légales